Free Access

Fig. 9

image

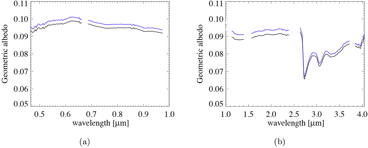
Geometric albedo of Ceres at VIS (a) and IR (b) wavelengths. Black curves are from S2 and blue curves from S4. Missing parts of the spectrum correspond to the order-sorting filter positions and VIS-IR spectral junction of the instrument.

Current usage metrics show cumulative count of Article Views (full-text article views including HTML views, PDF and ePub downloads, according to the available data) and Abstracts Views on Vision4Press platform.

Data correspond to usage on the plateform after 2015. The current usage metrics is available 48-96 hours after online publication and is updated daily on week days.

Initial download of the metrics may take a while.