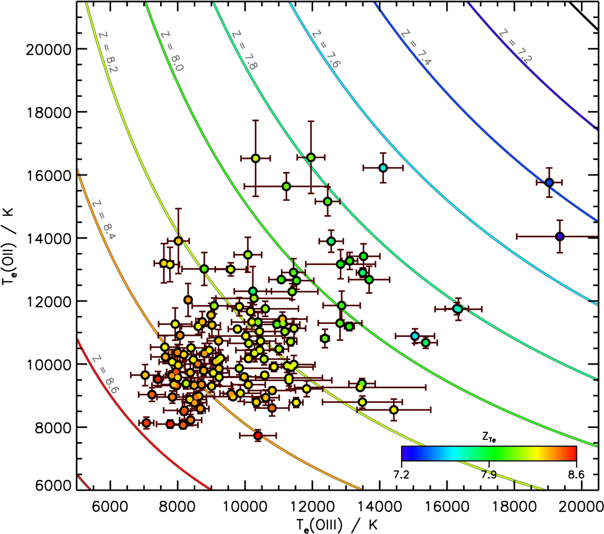
Fig. 5.

Te(OIII)–Te(OII) plane containing our 130 systems with direct ZTe estimates, as shown in Fig. 2. Here, each system is coloured by its direct ZTe. Our new empirically-derived Te(OIII)–Te(OII) relation (Eq. (9)) is plotted for discrete values of ZTe for comparison. There is a good correspondence seen between the metallicites of the data and the relation across this plane.
Current usage metrics show cumulative count of Article Views (full-text article views including HTML views, PDF and ePub downloads, according to the available data) and Abstracts Views on Vision4Press platform.
Data correspond to usage on the plateform after 2015. The current usage metrics is available 48-96 hours after online publication and is updated daily on week days.
Initial download of the metrics may take a while.