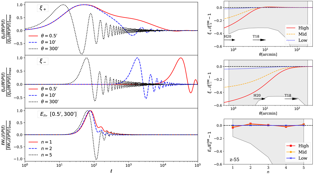
Fig. 1.

Comparison between ξ+, ξ− and COSEBIs En. Left: integrands are shown for three angular distances, θ, for ξ+, ξ− and three modes for En defined over the θ-range [0.5′, 300′]. All integrands are normalised by their maximum value. Right: sensitivity of ξ± and En to baryon feedback. Three baryon feedback cases from HMCODE are shown with different feedback parameters, high: Abar = 1, mid: Abar = 2 and low: Abar = 3. All curves are normalised with respect to the dark matter only case with a baryon feedback of Abar = 3.13. The grey shaded regions show the error bars for KV450. The ξ± errors are shown for the 9 logarithmic bins used in the KV450 analysis. The arrows show which scales were used in the primary KV450 (H20) and DES-Y1 analyses (T18).
Current usage metrics show cumulative count of Article Views (full-text article views including HTML views, PDF and ePub downloads, according to the available data) and Abstracts Views on Vision4Press platform.
Data correspond to usage on the plateform after 2015. The current usage metrics is available 48-96 hours after online publication and is updated daily on week days.
Initial download of the metrics may take a while.