Free Access

Fig. 4.

image

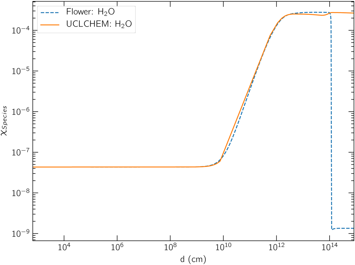
Evolution of H2O during the shock referenced in Figs. 2 and 3 in both mhd_vode and UCLCHEM. Within this figure, sputtering has been deactivated in UCLCHEM for the purposes of comparison. This implies that only gas-phase chemical reactions are active in these simulations so that the effect of the differences in the temperature profiles between mhd_vode and our approximation can be fairly evaluated. The abundance evolution of H2O up to d ≈ 1013 cm is in almost perfect agreement. This is in spite of the lack of inflexion point in both T and n between 1011 <  d <  1014 cm. This proves that such a departure has negligible effect during the shock. mhd_vode manually cools H2O, hence the decrease in abundance at d ≈ 1014 cm. UCLCHEM does not implement this cooling.

Current usage metrics show cumulative count of Article Views (full-text article views including HTML views, PDF and ePub downloads, according to the available data) and Abstracts Views on Vision4Press platform.

Data correspond to usage on the plateform after 2015. The current usage metrics is available 48-96 hours after online publication and is updated daily on week days.

Initial download of the metrics may take a while.