Free Access

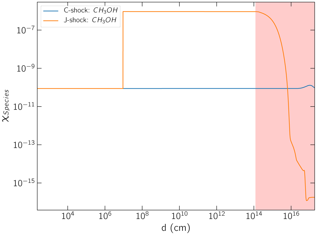
Fig. 6.

image

CH3OH abundances for a shock with initial velocity vs = 5 km s−1 and density nH = 103 cm−3. The shaded red region indicates the region beyond which the J-type shock has cooled to its equilibrium temperature.

Current usage metrics show cumulative count of Article Views (full-text article views including HTML views, PDF and ePub downloads, according to the available data) and Abstracts Views on Vision4Press platform.

Data correspond to usage on the plateform after 2015. The current usage metrics is available 48-96 hours after online publication and is updated daily on week days.

Initial download of the metrics may take a while.