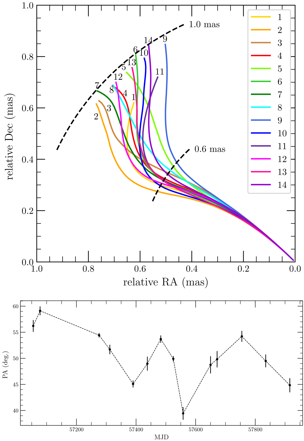
Fig. 4.

Upper image: ridge lines of PG 1553+113 for all 14 observing epochs at 15 GHz. Each epoch is represented by a different colour and is labelled with a progressive number. The two dashed arcs represent 0.6 mas and 1 mas from the core region. Lower image: jet direction across the observing epochs represented by the average ridge-line angle (see Sect. 3.3 for more details).
Current usage metrics show cumulative count of Article Views (full-text article views including HTML views, PDF and ePub downloads, according to the available data) and Abstracts Views on Vision4Press platform.
Data correspond to usage on the plateform after 2015. The current usage metrics is available 48-96 hours after online publication and is updated daily on week days.
Initial download of the metrics may take a while.