Free Access

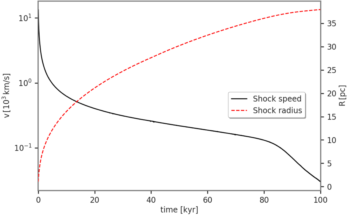
Fig. 1.

image

Curve shows the radial position of the forward shock as a function of time. The transitions between free expansion and the Sedov phase, and between Sedov and the post-adiabatic phase, appear roughly at 1.3 kyr and 35 kyr, respectively.

Current usage metrics show cumulative count of Article Views (full-text article views including HTML views, PDF and ePub downloads, according to the available data) and Abstracts Views on Vision4Press platform.

Data correspond to usage on the plateform after 2015. The current usage metrics is available 48-96 hours after online publication and is updated daily on week days.

Initial download of the metrics may take a while.