Free Access

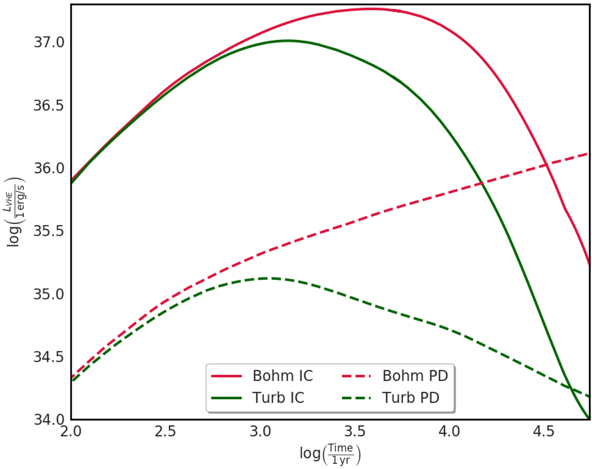
Fig. 10.

image

Time evolution of the gamma-ray luminosity in the TeV band. The curves reflect models with Bohm-like (red) and Alfvénic (green) diffusion, and they indicate IC (solid lines) and PD (dashed lines) emission. The curves are calculated for an ambient gas density of 0.4 cm−3 assuming the same injection-efficiency for electrons and protons.

Current usage metrics show cumulative count of Article Views (full-text article views including HTML views, PDF and ePub downloads, according to the available data) and Abstracts Views on Vision4Press platform.

Data correspond to usage on the plateform after 2015. The current usage metrics is available 48-96 hours after online publication and is updated daily on week days.

Initial download of the metrics may take a while.