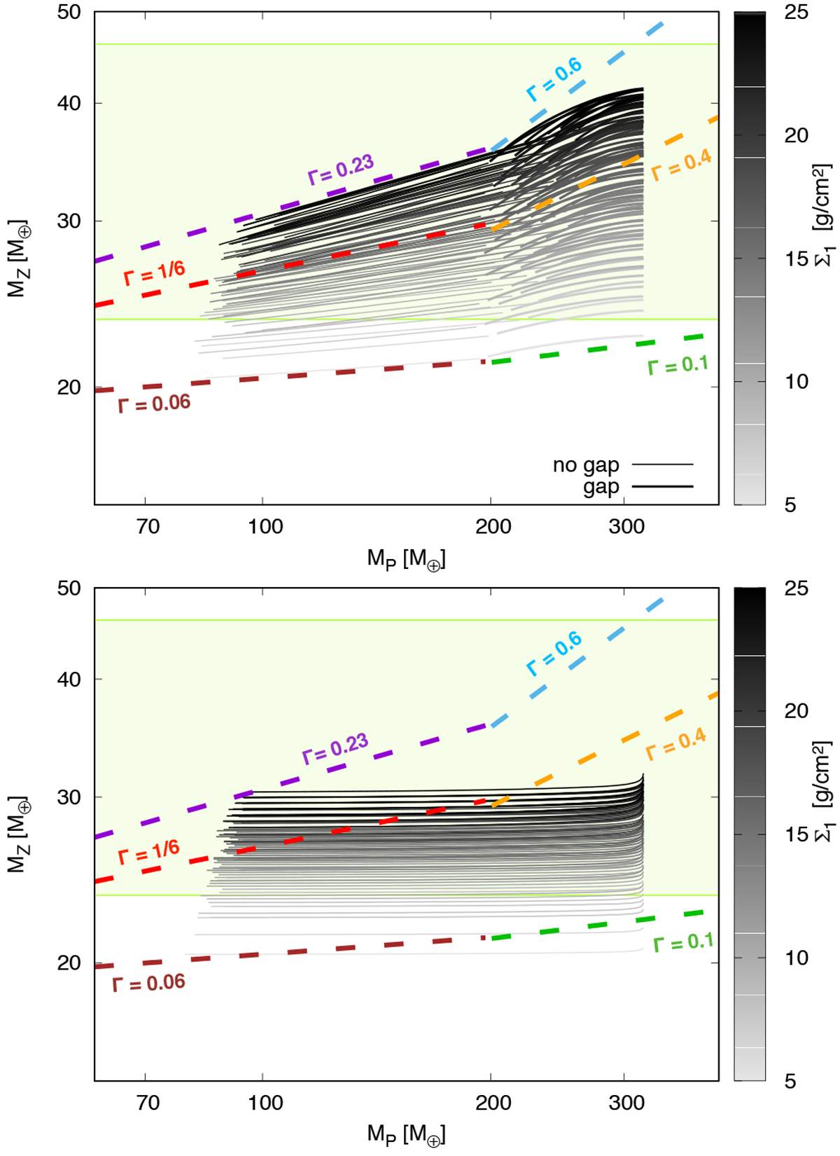
Fig. 9

Evolution of total amount of heavy elements as a function of planet mass during the detached phase, following SI08 (top) and OG (bottom). For clarity, only cases that fulfil the meteoritic time constraints are shown. The final mass for each track is the mass of Jupiter. The grey colour-bar indicates the initial planetesimal surface density (at time 1 Myr). Forthe top panel, the thick(thin) lines show cases with(without) planetesimal gap. For both panels, the green shaded area delimits the range of heavy elements in Jupiter inferred by Juno, and the colour-dashed curves show different
relations, with (
) = (15.5, 0.06) for the brown, (
) = (12.33, 1/6) for the red, (
) = (10.6, 0.23) for the purple, (
) = (12.5, 0.1) for the green, (
) = (3.52, 0.4) for the orange, and (
) = (1.48, 0.6) for the skyblue curve.
Current usage metrics show cumulative count of Article Views (full-text article views including HTML views, PDF and ePub downloads, according to the available data) and Abstracts Views on Vision4Press platform.
Data correspond to usage on the plateform after 2015. The current usage metrics is available 48-96 hours after online publication and is updated daily on week days.
Initial download of the metrics may take a while.