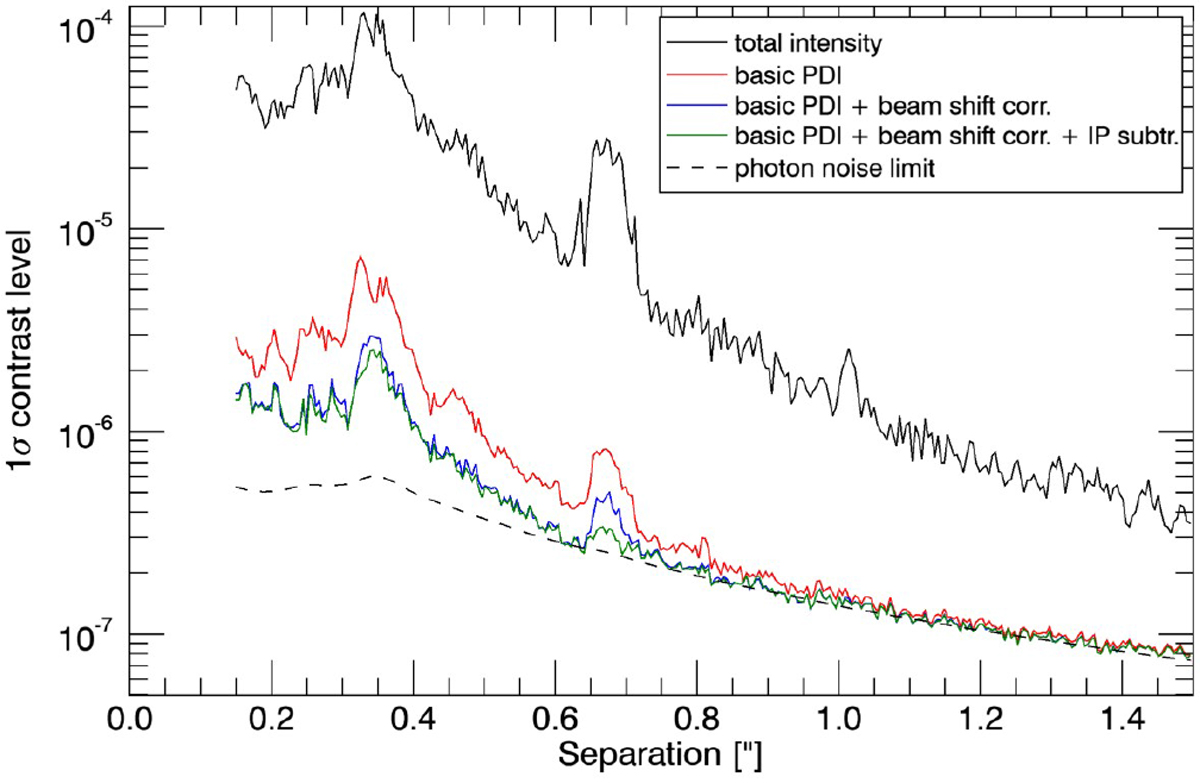
Fig. 3

1σ radial contrast levels for the data shown after the different major data-reduction steps – basic PDI by ZIMPOL, correction of the polarimetric beam shift, and subtraction of instrument polarisation (IP) – for the polarised intensity Q and for the corresponding intensity I of one single combined zero-phase and π-phase (2 × 1.2 s) exposure of α Cen A in the N_R filter.
Current usage metrics show cumulative count of Article Views (full-text article views including HTML views, PDF and ePub downloads, according to the available data) and Abstracts Views on Vision4Press platform.
Data correspond to usage on the plateform after 2015. The current usage metrics is available 48-96 hours after online publication and is updated daily on week days.
Initial download of the metrics may take a while.