Open Access

Fig. C.2

image

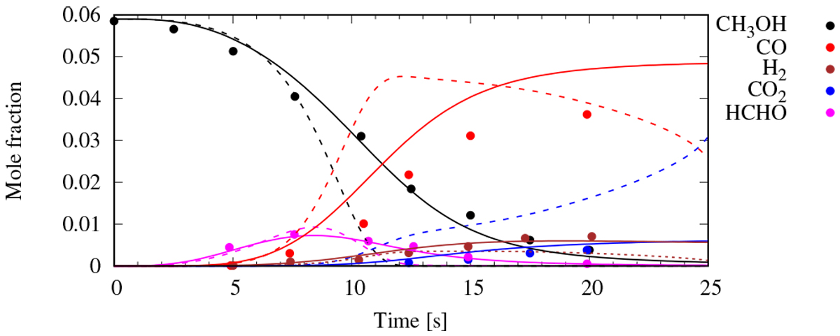
Species profiles for static reactor experiments where symbols denote experimental measurements from Cathonnet et al. (1982) and curves modeling results using the chemical scheme of Venot et al. (2012) (dashed) and with the updated chemical scheme of this paper (solid). Experimental conditions: 5.89 mol% CH3 + 8.84 mol% O2 + N2, T = 823 K, P = 0.026 MPa.

Current usage metrics show cumulative count of Article Views (full-text article views including HTML views, PDF and ePub downloads, according to the available data) and Abstracts Views on Vision4Press platform.

Data correspond to usage on the plateform after 2015. The current usage metrics is available 48-96 hours after online publication and is updated daily on week days.

Initial download of the metrics may take a while.