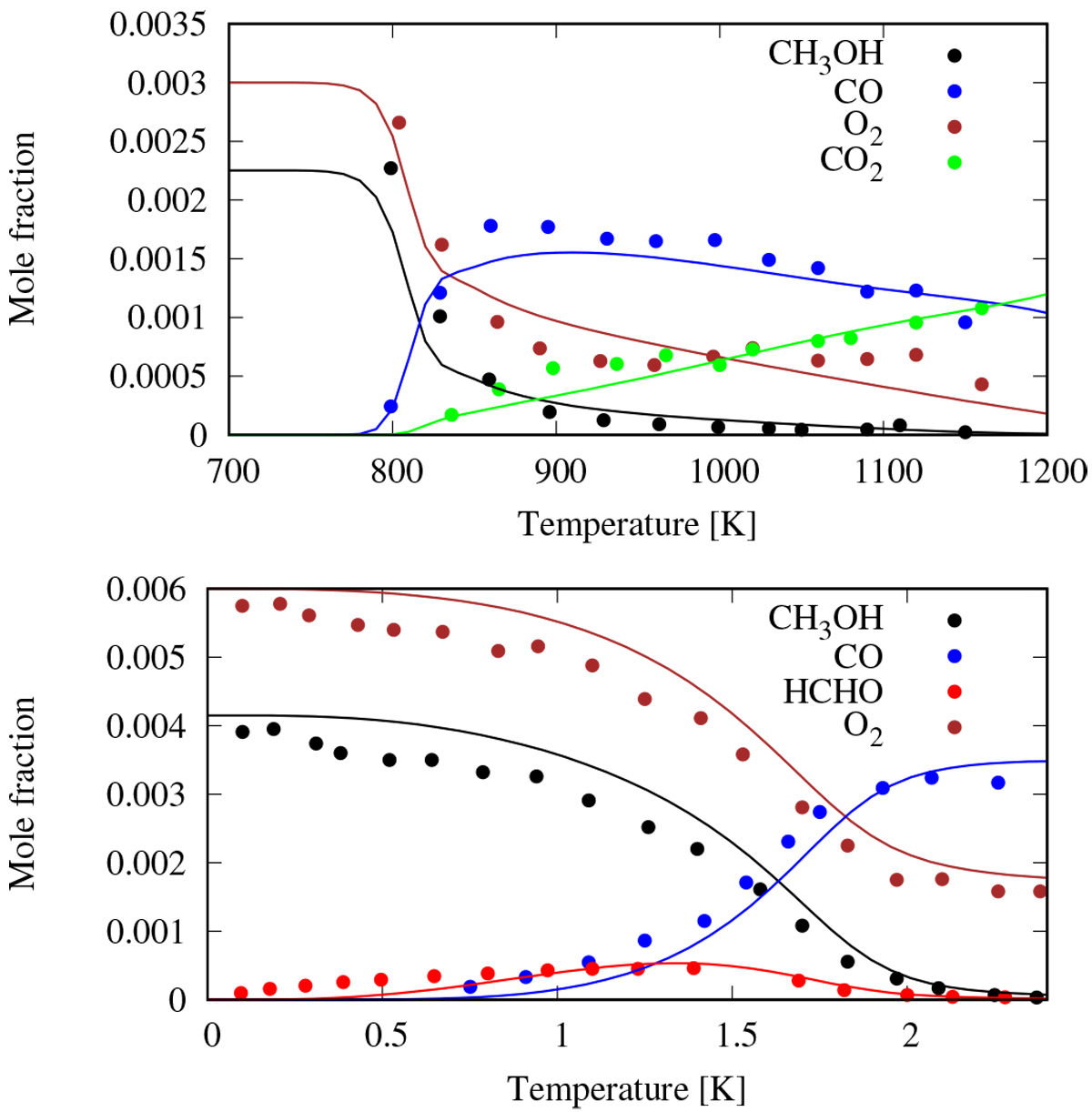
Fig. C.7

Species mole fractions vs. temperature and time. Top panel: experiment conducted with a jet-stirred reactor. Experimental conditions: P = 20 atm, equivalence ratio = 1, 2400 ppm CH3OH + 3000 ppm O2 balanced with N2 (Burke et al. 2016). Bottom panel: experiment conducted with a plug flow reactor. Experimental conditions are P = 1 atm, 4150 ppm CH3OH + 6000 ppm of O2 balanced with N2, T = 783K, P = 15 atm (Held & Dryer 1994). Data are compared with simulations using the updated chemical scheme of this paper (solid lines).
Current usage metrics show cumulative count of Article Views (full-text article views including HTML views, PDF and ePub downloads, according to the available data) and Abstracts Views on Vision4Press platform.
Data correspond to usage on the plateform after 2015. The current usage metrics is available 48-96 hours after online publication and is updated daily on week days.
Initial download of the metrics may take a while.