Open Access
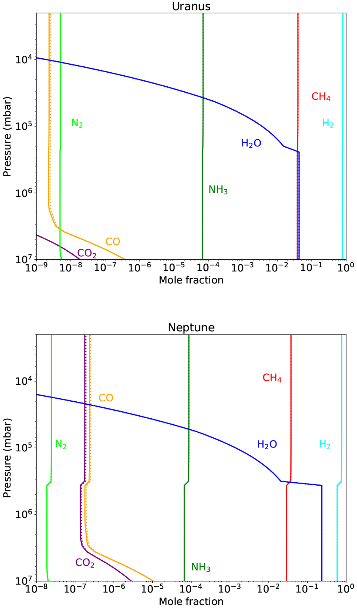
Fig. D.3

Vertical abundances profiles of the main species in Uranus (top) and Neptune (bottom). The abundances obtained with the updated chemical scheme (solid lines) are compared to those obtained with the reduced scheme (dotted lines).
Current usage metrics show cumulative count of Article Views (full-text article views including HTML views, PDF and ePub downloads, according to the available data) and Abstracts Views on Vision4Press platform.
Data correspond to usage on the plateform after 2015. The current usage metrics is available 48-96 hours after online publication and is updated daily on week days.
Initial download of the metrics may take a while.