Open Access

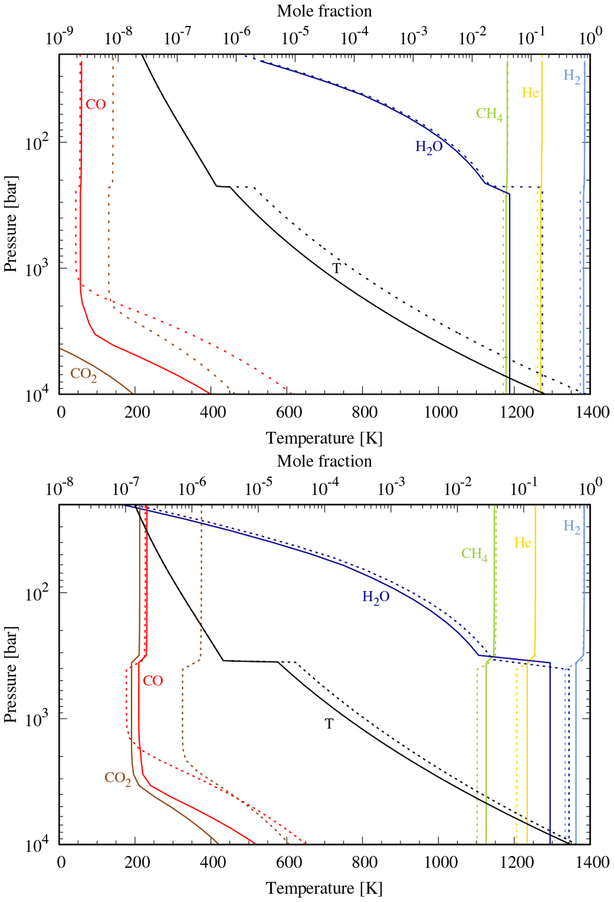
Fig. 6

image

Vertical abundances profiles of the main atmospheric constituents and oxygen species in Uranus (top) and Neptune (bottom). The abundances obtained with the updated chemical scheme (solid lines), and O/H < 45 and 250⊙ for Uranus and Neptune (respectively), are compared to those obtained with the former scheme of Venot et al. (2012) (dotted lines), with <160 and 480⊙ for Uranus and Neptune (respectively). The thermal and abundance profiles are thus not obtained with the same boundary conditions (see text for more details).

Current usage metrics show cumulative count of Article Views (full-text article views including HTML views, PDF and ePub downloads, according to the available data) and Abstracts Views on Vision4Press platform.

Data correspond to usage on the plateform after 2015. The current usage metrics is available 48-96 hours after online publication and is updated daily on week days.

Initial download of the metrics may take a while.