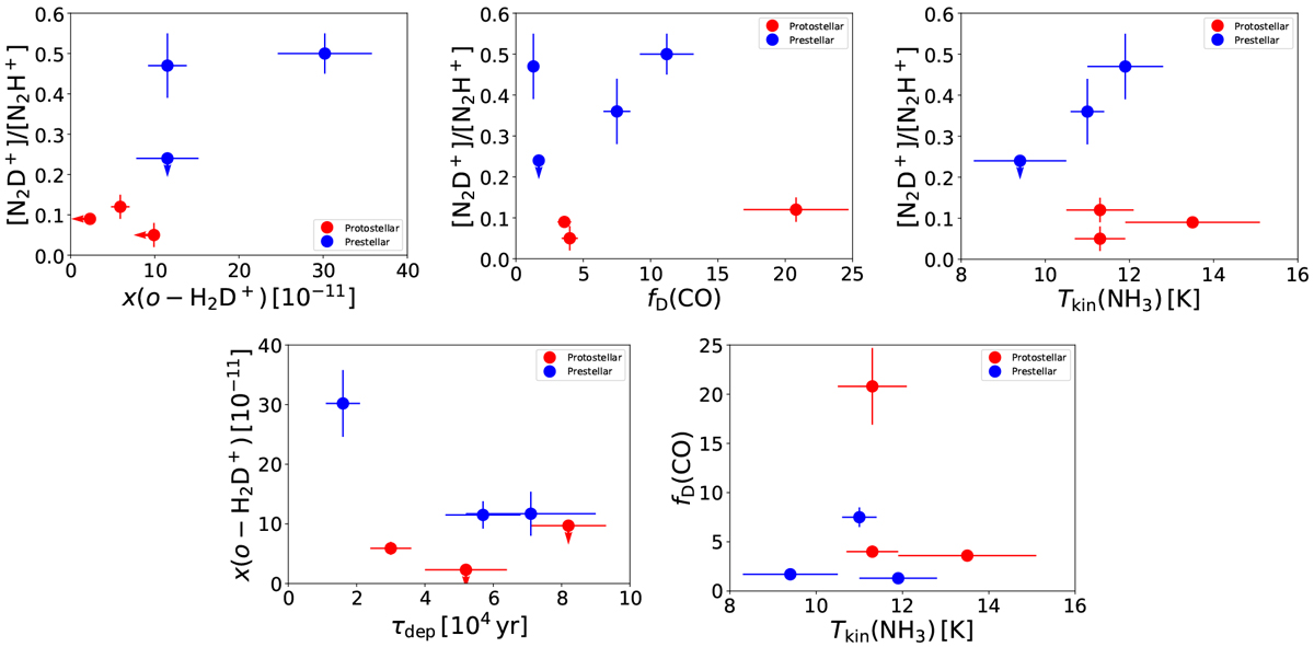
Fig. 3

Top panels: degree of deuterium fractionation ([N2D+]∕[N2H+]) against o-H2D+ abundance, CO depletion factor, and NH3-based gas kinetic temperature. Bottom panels: o-H2D+ abundance against CO depletion timescale; CO depletion factor against gas temperature. The arrows pointing left and down indicate upper limits. In the top middle panel, the prestellar core SMM 6 has two data points that represent our two different target positions within the source (see Table 6).
Current usage metrics show cumulative count of Article Views (full-text article views including HTML views, PDF and ePub downloads, according to the available data) and Abstracts Views on Vision4Press platform.
Data correspond to usage on the plateform after 2015. The current usage metrics is available 48-96 hours after online publication and is updated daily on week days.
Initial download of the metrics may take a while.