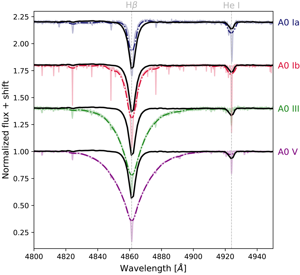
Fig. 11.

Spectral classification of an A-type supergiant (star 729). The MUSE spectrum (in black) is compared to four standard star spectra of spectral type A0 Ia, A0 Ib, A0 III, and A0 V. The continuous line shows the original spectra, and the dash-dotted lines show the spectra rotationally broadened by 200 km s−1. All standard star spectra are downgraded in resolution to match the MUSE data. We classify this star as early A-type star with luminosity class Ia-Ib.
Current usage metrics show cumulative count of Article Views (full-text article views including HTML views, PDF and ePub downloads, according to the available data) and Abstracts Views on Vision4Press platform.
Data correspond to usage on the plateform after 2015. The current usage metrics is available 48-96 hours after online publication and is updated daily on week days.
Initial download of the metrics may take a while.