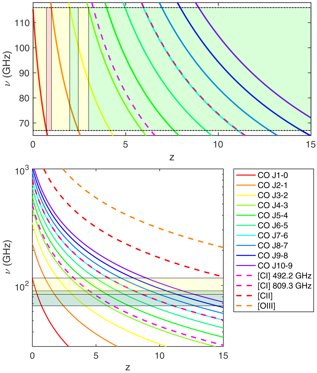
Fig. 3.

Upper panel: curves show bright molecular CO rotational transitions and atomic [CI] lines (neutral carbon at 492 and 809 GHz in the rest frame) redshifted into the Band 2 and Band 3 frequency range as a function of redshift. For all redshifts other than 0.72 < z < 0.99 (pink shaded region) out to formation of the earliest galaxies, at least one CO rotational transition is available (yellow shaded region). The redshift determination is unambiguous for 1.98 < z < 2.44 and z ≥ 3, where two or more lines are available (green shaded regions). Importantly, the wideband Band 2 receiver system we present here will extend ALMA’s capability to probe the [CI] 809.3 GHz rest frame transition at redshifts z ≳ 8.5. Lower panel: same bright mm/submm lines for all ALMA bands. We note that the full ALMA frequency range covers the redshifted [CII] and [OIII] lines, although they do not intersect Bands 2 and 3 for z ≲ 15. ALMA Bands 2 and 3, as originally defined, are respectively shaded in green and yellow (horizontal regions). The wide bandwidth receiver we present here will be unique in its ability to probe simultaneously two or more lines for z ≥ 3. The legend is common to both panels. The figures are based on those presented in Fuller et al. (2016).
Current usage metrics show cumulative count of Article Views (full-text article views including HTML views, PDF and ePub downloads, according to the available data) and Abstracts Views on Vision4Press platform.
Data correspond to usage on the plateform after 2015. The current usage metrics is available 48-96 hours after online publication and is updated daily on week days.
Initial download of the metrics may take a while.