Free Access
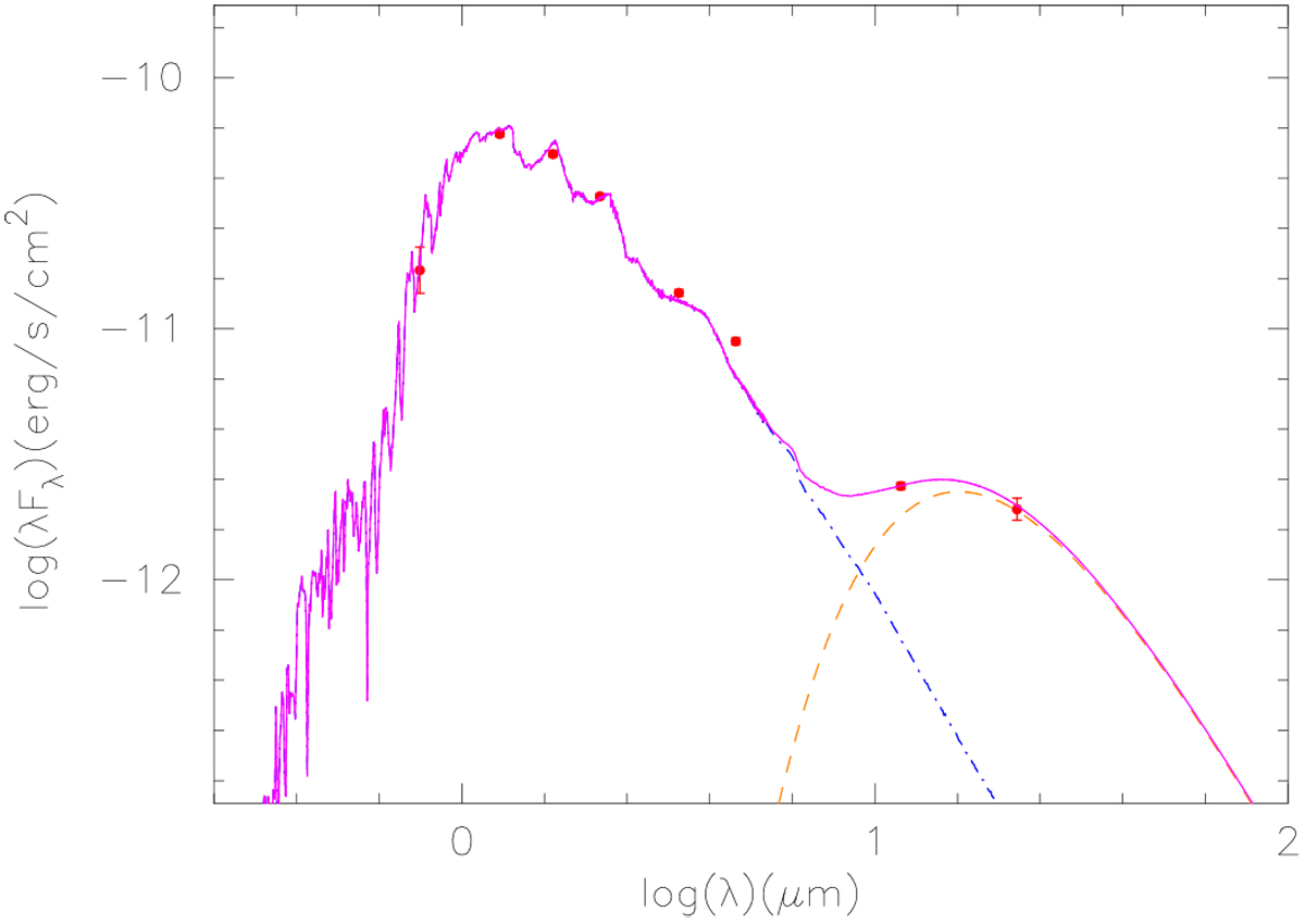
Fig. 2

SED for DENIS1538−1038. The blue dash-dotted line shows the BT-Settl model atmosphere (T⋆ = 2800 K, log g = 3.5). The disk blackbody model (Tdisk = 224 K) is indicated by the orange dashed line. Our best fit to the photometric data is shown by the magenta solid line.
Current usage metrics show cumulative count of Article Views (full-text article views including HTML views, PDF and ePub downloads, according to the available data) and Abstracts Views on Vision4Press platform.
Data correspond to usage on the plateform after 2015. The current usage metrics is available 48-96 hours after online publication and is updated daily on week days.
Initial download of the metrics may take a while.