Free Access

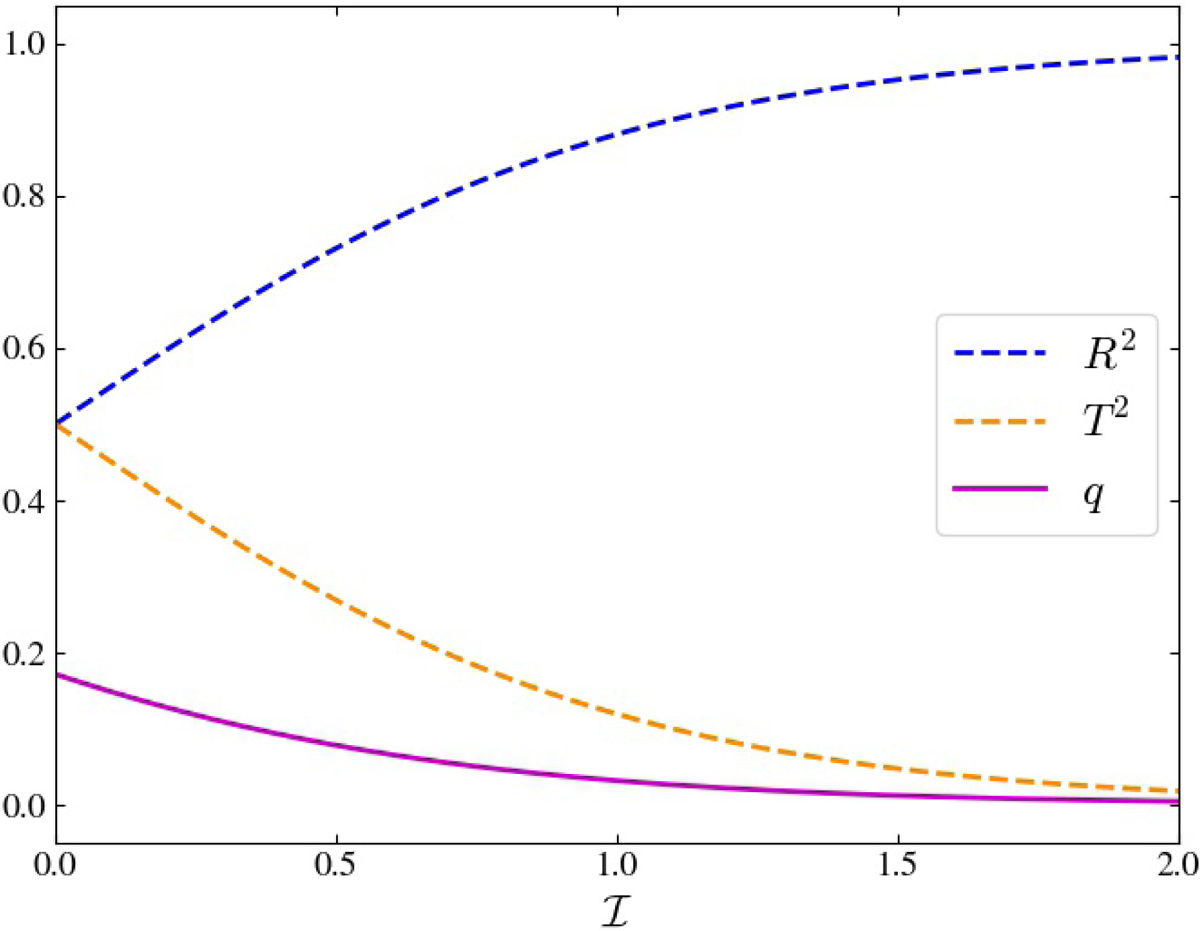
Fig. C.1.

image

Squared wave reflection and transmission coefficients as a function of the wavenumber integral in the case of a parabolic barrier (blue and yellow dashed lines, respectively). The corresponding coupling factor computed with Eq. (13) is also plotted in solid line.

Current usage metrics show cumulative count of Article Views (full-text article views including HTML views, PDF and ePub downloads, according to the available data) and Abstracts Views on Vision4Press platform.

Data correspond to usage on the plateform after 2015. The current usage metrics is available 48-96 hours after online publication and is updated daily on week days.

Initial download of the metrics may take a while.