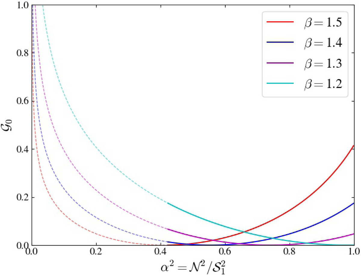
Fig. 5.

Gradient-related term 𝒢0 provided by Eq. (26) as a function of α2 and for typical values of β. The dashed lines represent the extrapolation of this expression outside its derivation domain, that is, toward small values of α (i.e., for thick evanescent regions). The transition is arbitrarily assumed to occur when α2 ≲ 0.4, i.e., when Δr/2rev ≳ 0.2 according to Eq. (31).
Current usage metrics show cumulative count of Article Views (full-text article views including HTML views, PDF and ePub downloads, according to the available data) and Abstracts Views on Vision4Press platform.
Data correspond to usage on the plateform after 2015. The current usage metrics is available 48-96 hours after online publication and is updated daily on week days.
Initial download of the metrics may take a while.