Free Access
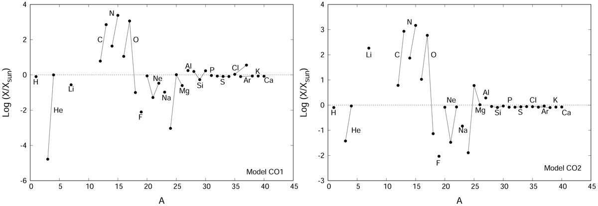
Fig. 3.

Mean overproduction factors relative to solar (Lodders et al. 2009) in the ejecta of models CO1 (left panel) and CO2 (right panel). In the plots, unstable nuclei (e.g., 7Be) are assumed to decay into the corresponding stable species (e.g., 7Li).
Current usage metrics show cumulative count of Article Views (full-text article views including HTML views, PDF and ePub downloads, according to the available data) and Abstracts Views on Vision4Press platform.
Data correspond to usage on the plateform after 2015. The current usage metrics is available 48-96 hours after online publication and is updated daily on week days.
Initial download of the metrics may take a while.