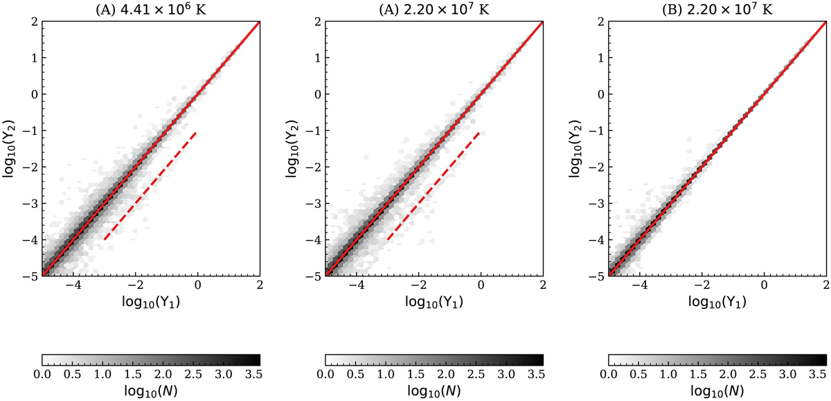
Fig. 4.

Hexbin plots of the comparison of the Fe XXI (or Fe20+) effective collision strengths between two sets (A and B) of calculations (Υ1) and Fernández-Menchero et al. (2016, Υ2) at relatively high temperatures. Data set A is the default of the present work. In data set B, we use the scaling parameters of Fernández-Menchero et al. (2016) (Fig. 3). The darker the color, the greater number of transitions log10(N). The diagonal line in red indicates Υ1 = Υ2. The dashed lines in red highlight transitions in the “long island” (see Sect. 4.1 for more details).
Current usage metrics show cumulative count of Article Views (full-text article views including HTML views, PDF and ePub downloads, according to the available data) and Abstracts Views on Vision4Press platform.
Data correspond to usage on the plateform after 2015. The current usage metrics is available 48-96 hours after online publication and is updated daily on week days.
Initial download of the metrics may take a while.