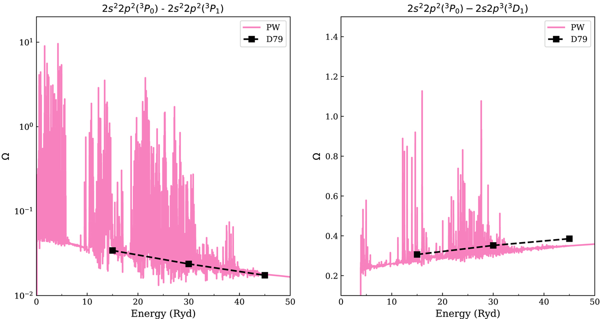
Fig. 9.

Ordinary collision strengths (Ω) for Ar XIII. Left panel: refers to the forbidden transition from the ground level 2s22p2 (3P0) to the metastable level 2s22p2 (3P1), while the right panel refers to the transition from the ground level 2s22p2 (3P0) – 2s2p3 (3D1). The present work (PW) is shown in pink solid lines. The solid squares and the dashed lines are previous distorted wave approximations from Table 4 of Dere et al. (1979, D79).
Current usage metrics show cumulative count of Article Views (full-text article views including HTML views, PDF and ePub downloads, according to the available data) and Abstracts Views on Vision4Press platform.
Data correspond to usage on the plateform after 2015. The current usage metrics is available 48-96 hours after online publication and is updated daily on week days.
Initial download of the metrics may take a while.