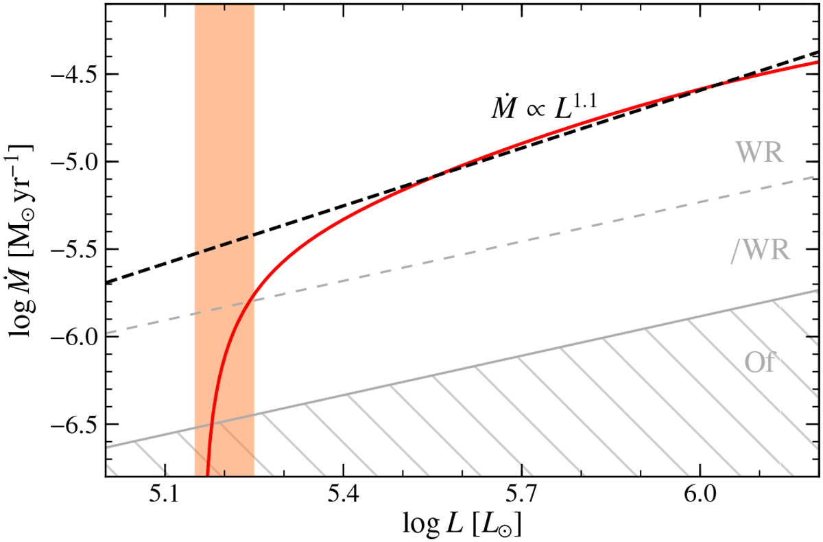
Fig. 4

Schematic behaviour of Ṁ as a functionof L for a hydrogen-free WN star with T* = 141 kK, based on the series of hydrodynamcially-consistent WN models at Z⊙ from Sander et al. (2019) and calibrations with the M(L)-relation from Gräfener et al. (2011). The upper dashed line indicates a linear trend in the WR regime, as confirmed from empirical measurements (see text). Lines of Rt = const (L ∝ Ṁ3∕4, see Eq. (2)) roughly indicate the regions in which a WR, /WR, and Of spectral appearance is obtained. The shaded orange region roughly marks the transition to a WR spectral appearance. We note that the curve and the position of the lines of Rt = const depend on the choice of T* and XH, and that the purpose of this figure is primarily illustrative.
Current usage metrics show cumulative count of Article Views (full-text article views including HTML views, PDF and ePub downloads, according to the available data) and Abstracts Views on Vision4Press platform.
Data correspond to usage on the plateform after 2015. The current usage metrics is available 48-96 hours after online publication and is updated daily on week days.
Initial download of the metrics may take a while.