Free Access
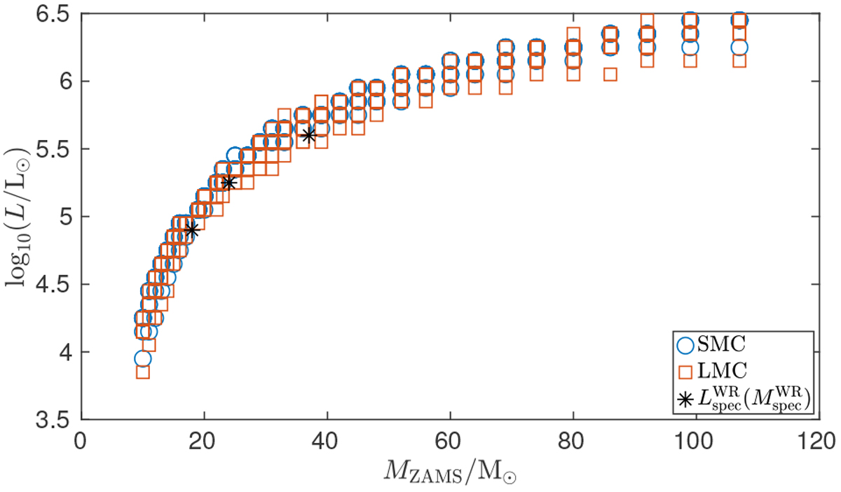
Fig. A.1

Luminosity bin in which each stellar model spent the longest time in its hot post-MS stage for SMC models (blue circles) and LMC models (orange squares). Our choice for
and
is marked by black asterisks.
Current usage metrics show cumulative count of Article Views (full-text article views including HTML views, PDF and ePub downloads, according to the available data) and Abstracts Views on Vision4Press platform.
Data correspond to usage on the plateform after 2015. The current usage metrics is available 48-96 hours after online publication and is updated daily on week days.
Initial download of the metrics may take a while.