Free Access

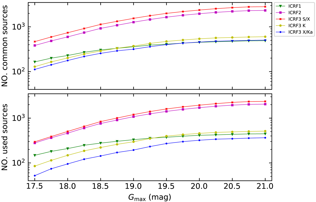
Fig. 9.

image

Distribution of numbers of all common sources between ICRF catalogs and the Gaia DR2 ICRF3-prototype subset (top) and used sources in the fit (bottom) as a function of the limiting G-magnitude of Gaia sample.

Current usage metrics show cumulative count of Article Views (full-text article views including HTML views, PDF and ePub downloads, according to the available data) and Abstracts Views on Vision4Press platform.

Data correspond to usage on the plateform after 2015. The current usage metrics is available 48-96 hours after online publication and is updated daily on week days.

Initial download of the metrics may take a while.