Open Access
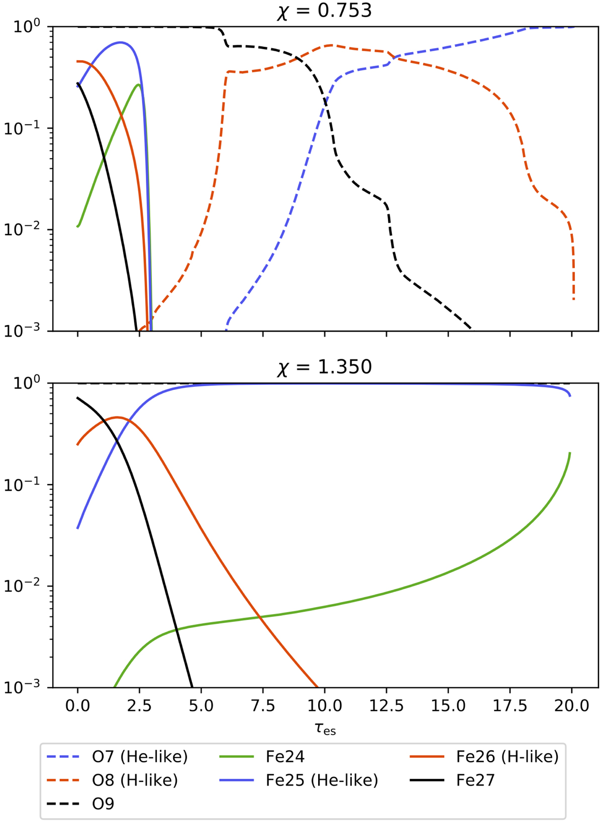
Fig. 7.

Ionization state of iron and oxygen across the corona for τcor = 20 and χ = 0.753 (top) and 1.35 (bottom). The other parameters are fixed to Tbb = 105 K, ξ0 = 103 erg s−1 cm, and nH = 1012 cm−3. We note that for χ = 1.350, oxygen is fully ionized throughout the entire corona.
Current usage metrics show cumulative count of Article Views (full-text article views including HTML views, PDF and ePub downloads, according to the available data) and Abstracts Views on Vision4Press platform.
Data correspond to usage on the plateform after 2015. The current usage metrics is available 48-96 hours after online publication and is updated daily on week days.
Initial download of the metrics may take a while.