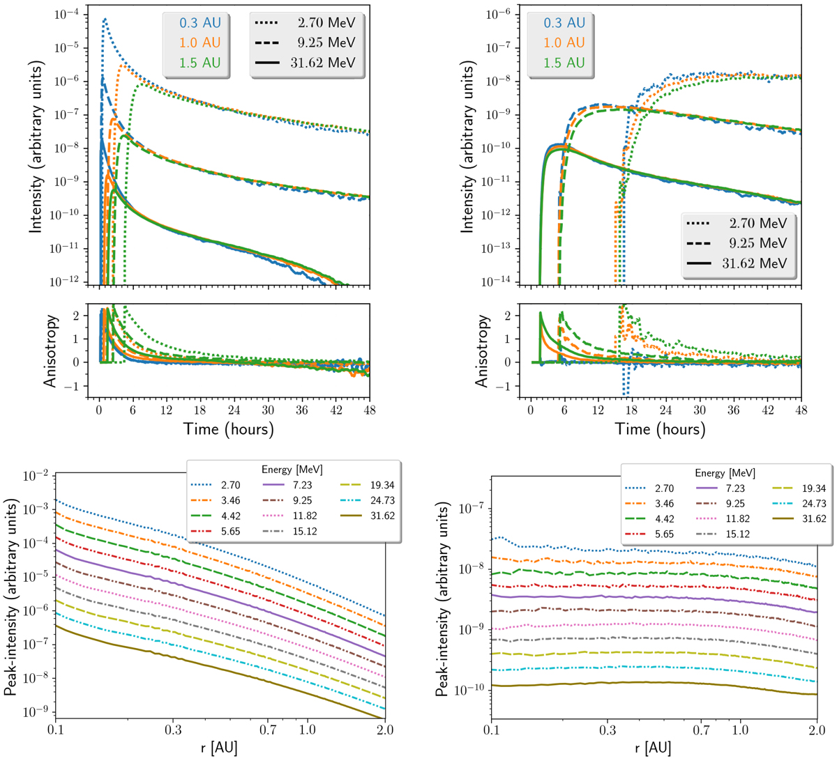
Fig. 1.

Upper row: intensity (top) and anisotropy (bottom)-time profiles for three observers located along an IMF line in a 300 km s−1 Parker solar wind rooted at 0.1 AU at 0° latitude (left panel) and at −3° latitude (right panel). Both panels show the intensity-time profiles for observers at a heliocentric radial distance of 0.3 AU (blue), 1 AU (orange), and 1.5 AU (green), and for protons of 2.70 MeV (dotted curves), 9.25 MeV (dashed) and 31.62 MeV (solid). Lower row: peak-intensities of the simulated proton channels (colour coded) as a function of radial distance for an IMF line at 0° latitude (left panel) and at −3° latitude (right panel).
Current usage metrics show cumulative count of Article Views (full-text article views including HTML views, PDF and ePub downloads, according to the available data) and Abstracts Views on Vision4Press platform.
Data correspond to usage on the plateform after 2015. The current usage metrics is available 48-96 hours after online publication and is updated daily on week days.
Initial download of the metrics may take a while.