Free Access
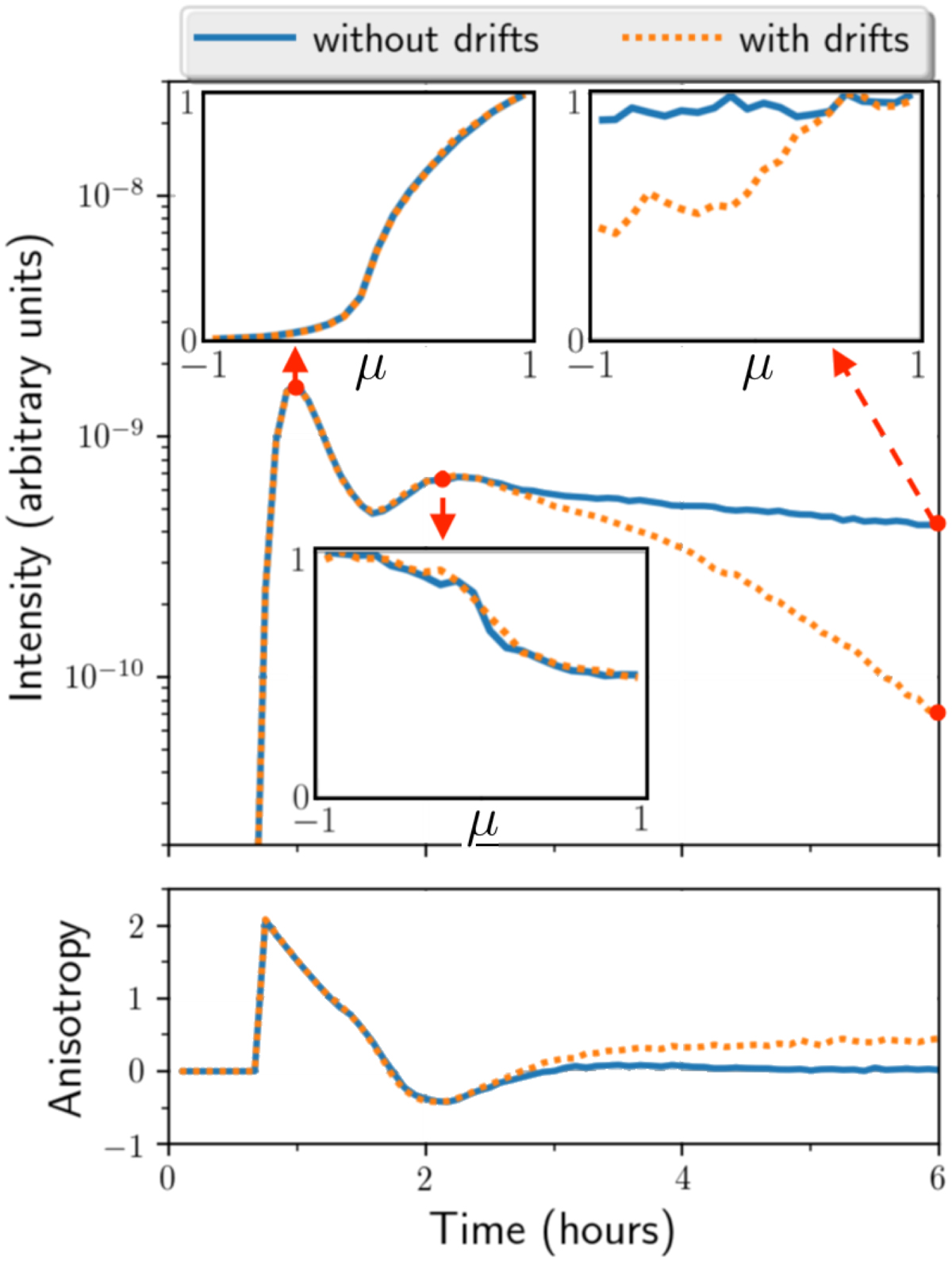
Fig. 11.

31.62 MeV intensities and anisotropies for the observer indicated by the cyan diamond in Fig. 9. The three insets show the normalised pitch angle distributions, corresponding to the snapshots indicated by the red dots. Solid and dotted lines are for simulations without and with particle drifts.
Current usage metrics show cumulative count of Article Views (full-text article views including HTML views, PDF and ePub downloads, according to the available data) and Abstracts Views on Vision4Press platform.
Data correspond to usage on the plateform after 2015. The current usage metrics is available 48-96 hours after online publication and is updated daily on week days.
Initial download of the metrics may take a while.