Free Access

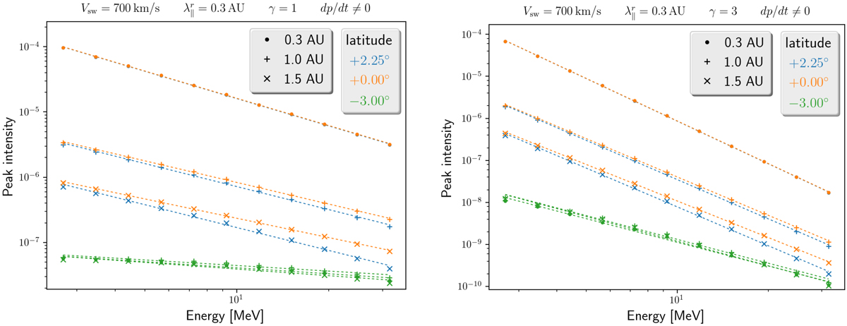
Fig. 6.

image

Peak-intensity spectra for simulations with the effect of drifts included and for observers in a 700 km s−1 solar wind, located at different radial distances and latitudes, as indicated by the legend. Left and right panels are for injection intensities j ∝ E−1 and j ∝ E−3, respectively. The dotted curves are linear fits with the slope a and its standard error given in Table 2. We note that the orange line covers the blue line for the observers at 0.3 AU (dot symbols).

Current usage metrics show cumulative count of Article Views (full-text article views including HTML views, PDF and ePub downloads, according to the available data) and Abstracts Views on Vision4Press platform.

Data correspond to usage on the plateform after 2015. The current usage metrics is available 48-96 hours after online publication and is updated daily on week days.

Initial download of the metrics may take a while.