Free Access
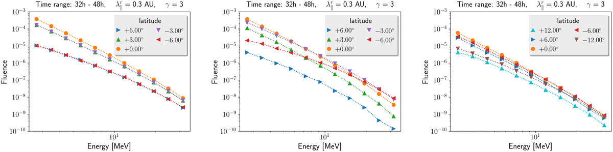
Fig. 8.

Fluence energy spectra for simulations with cross-field diffusion, measured between 32 h and 48 h. Left panel and central panel are for α = 10−4, whereas the right panel is for α = 10−3. Left panel is for simulations without particle drifts, whereas the central and right panel include drifts.
Current usage metrics show cumulative count of Article Views (full-text article views including HTML views, PDF and ePub downloads, according to the available data) and Abstracts Views on Vision4Press platform.
Data correspond to usage on the plateform after 2015. The current usage metrics is available 48-96 hours after online publication and is updated daily on week days.
Initial download of the metrics may take a while.