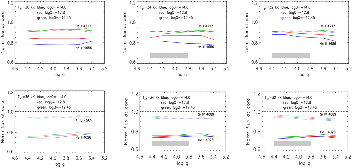
Fig. 6

FASTWIND model predictions for the line intensities used for luminosity criteria in late O-type stars as a function of surface gravity (log g) for different Teff−log Q pairs and ɛSi = 7.0 dex. Lines used in the primary and secondary criteria (see Table 7) are shown in the upper and lower panels, respectively. Line profiles were broadened using v sin i = 100 km s−1, and a spectral resolving power of R = 4000 (used to classify the VFTS spectra). For all profiles, vmic was fixed at 10 and 5 km s−1 for the NLTE and formal integral computations, respectively. The log g range for our sample is indicated by the grey rectangle.
Current usage metrics show cumulative count of Article Views (full-text article views including HTML views, PDF and ePub downloads, according to the available data) and Abstracts Views on Vision4Press platform.
Data correspond to usage on the plateform after 2015. The current usage metrics is available 48-96 hours after online publication and is updated daily on week days.
Initial download of the metrics may take a while.