Free Access

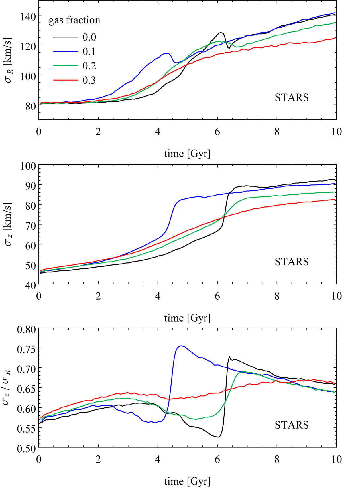
Fig. 8.

image

Evolution of the kinematics of the stars in the form of the radial velocity dispersion (upper panel), vertical velocity dispersion (middle panel), and the ratio of the two quantities (lower panel). Measurements were performed for stars inside 2RD. Lines of different colors correspond to simulations with different gas fractions.

Current usage metrics show cumulative count of Article Views (full-text article views including HTML views, PDF and ePub downloads, according to the available data) and Abstracts Views on Vision4Press platform.

Data correspond to usage on the plateform after 2015. The current usage metrics is available 48-96 hours after online publication and is updated daily on week days.

Initial download of the metrics may take a while.