Free Access

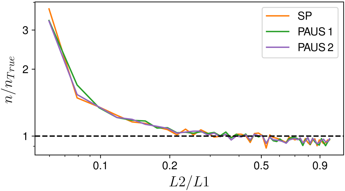
Fig. 4.

image

Ratio between the fraction of pairs selected within L2/L1 bins for each photometric sample, n, and for the true pairs, nTrue. L2/L1 distributions are in excellent agreement with the distributions derived for the true pairs when L2/L1 >  0.2 is considered. It is important to highlight that pairs with L2/L1 <  0.2 constitute ∼10% of all the selected samples.

Current usage metrics show cumulative count of Article Views (full-text article views including HTML views, PDF and ePub downloads, according to the available data) and Abstracts Views on Vision4Press platform.

Data correspond to usage on the plateform after 2015. The current usage metrics is available 48-96 hours after online publication and is updated daily on week days.

Initial download of the metrics may take a while.