Free Access

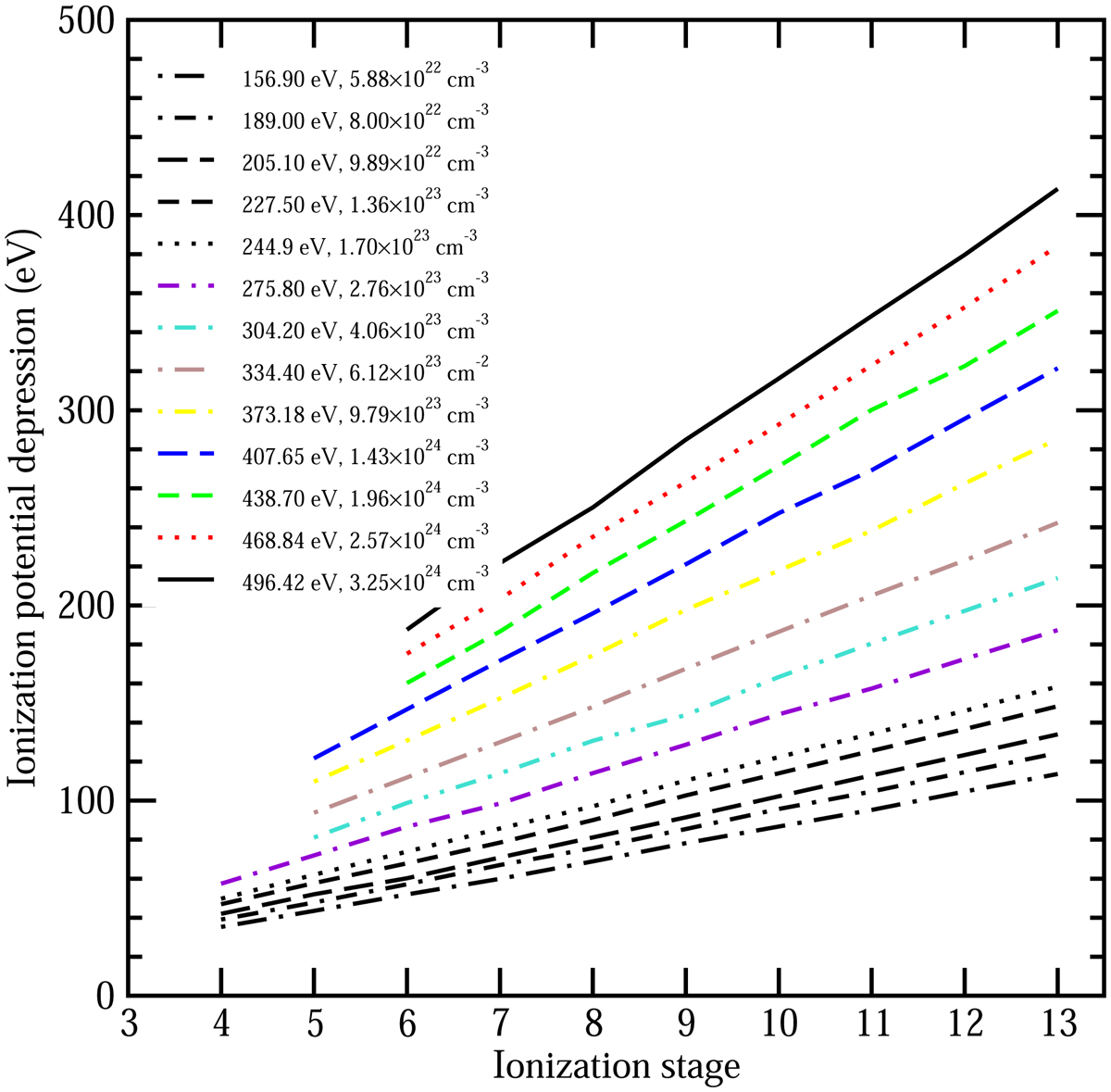
Fig. 3.

image

Ionization-potential depressions of Si plasmas at the electron densities of 5.88 × 1022 cm−3 (black long-dashed-dotted line), 8.0 × 1022 cm−3 (black short-dashed-dotted line), 9.89 × 1022 cm−3 (black long-dashed line), 1.36 × 1023 cm−3 (black short-dashed line), 1.7 × 1023 cm−3 (black dotted line), 2.76 × 1023 cm−3 (violet dashed-dashed-dotted line), 4.06 × 1023 cm−3 (turquoise dashed-dotted-dotted line), 6.12 × 1023 cm−3 (brown long-dashed-dotted line), 9.79 × 1023 cm−3 (yello short-dashed-dotted line), 1.43 × 1024 cm−3 (blue long-dashed line), 1.96 × 1024 cm−3 (green short-dashed line), 2.57 × 1024 cm−3 (red dotted line), and 3.25 × 1024 cm−3 (black solid line). They are taken from the standard solar model (Bahcall & Ulrich 1988; Guenther et al. 1992).

Current usage metrics show cumulative count of Article Views (full-text article views including HTML views, PDF and ePub downloads, according to the available data) and Abstracts Views on Vision4Press platform.

Data correspond to usage on the plateform after 2015. The current usage metrics is available 48-96 hours after online publication and is updated daily on week days.

Initial download of the metrics may take a while.