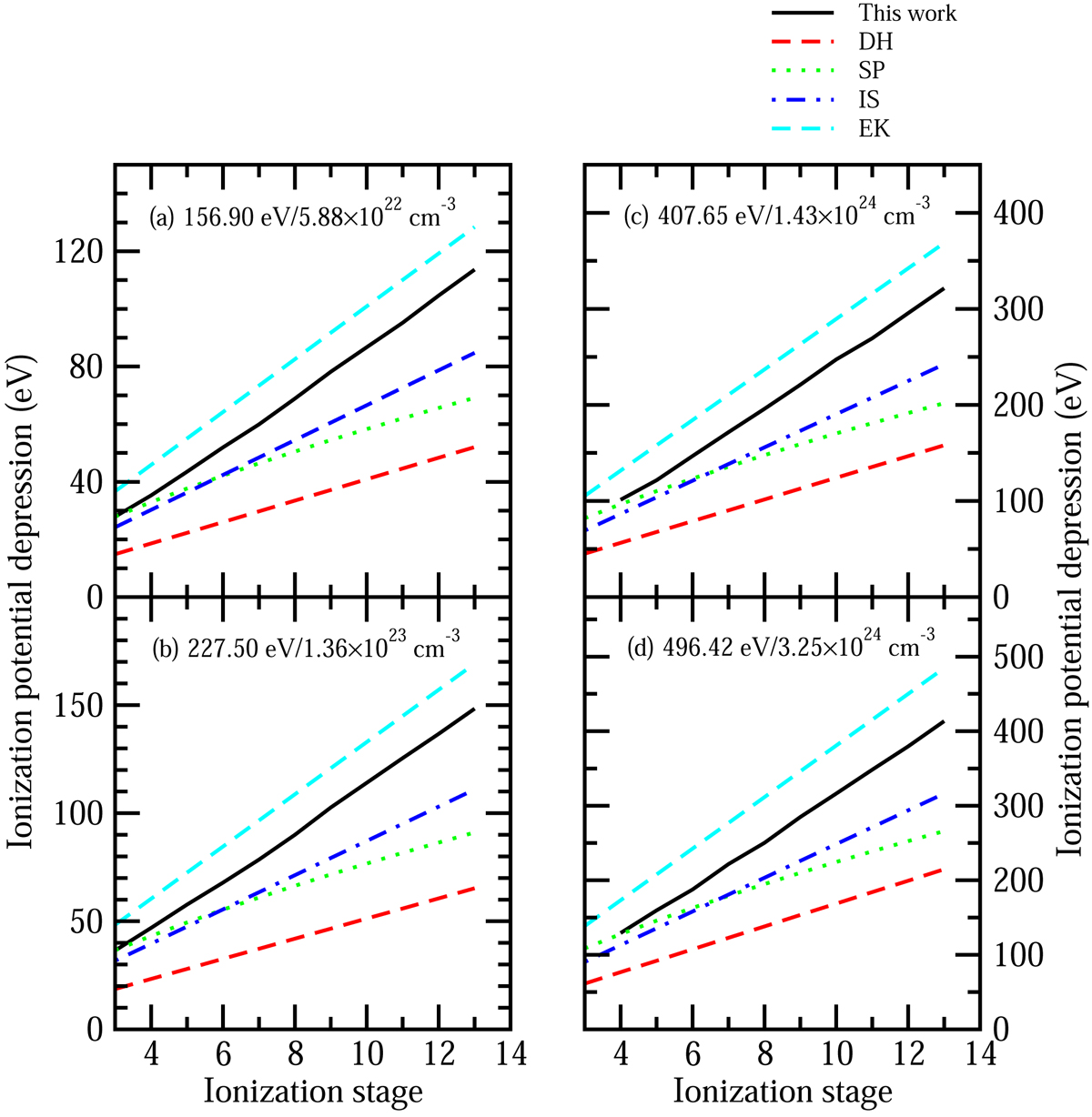
Fig. 4.

Comparison of our theoretical ionization-potential depression with the analytical models of Debye-Hückel (DH) (Debye & Hückel 1923), Stewart-Pyatt (SP) (Stewart & Pyatt 1966), ion sphere (IS) (Rozsnyai 1972), and Ecker-Kröll (EK) (Ecker & Kröll 1963) for a few selected plasma conditions of (a) 156.90 eV/5.88 × 1022 cm−3, (b) 227.53 eV/1.36 × 1023 cm−3, (c) 407.65 eV/1.43 × 1024 cm−3, and (d) 496.42 eV/3.25 × 1024 cm−3.
Current usage metrics show cumulative count of Article Views (full-text article views including HTML views, PDF and ePub downloads, according to the available data) and Abstracts Views on Vision4Press platform.
Data correspond to usage on the plateform after 2015. The current usage metrics is available 48-96 hours after online publication and is updated daily on week days.
Initial download of the metrics may take a while.