Free Access
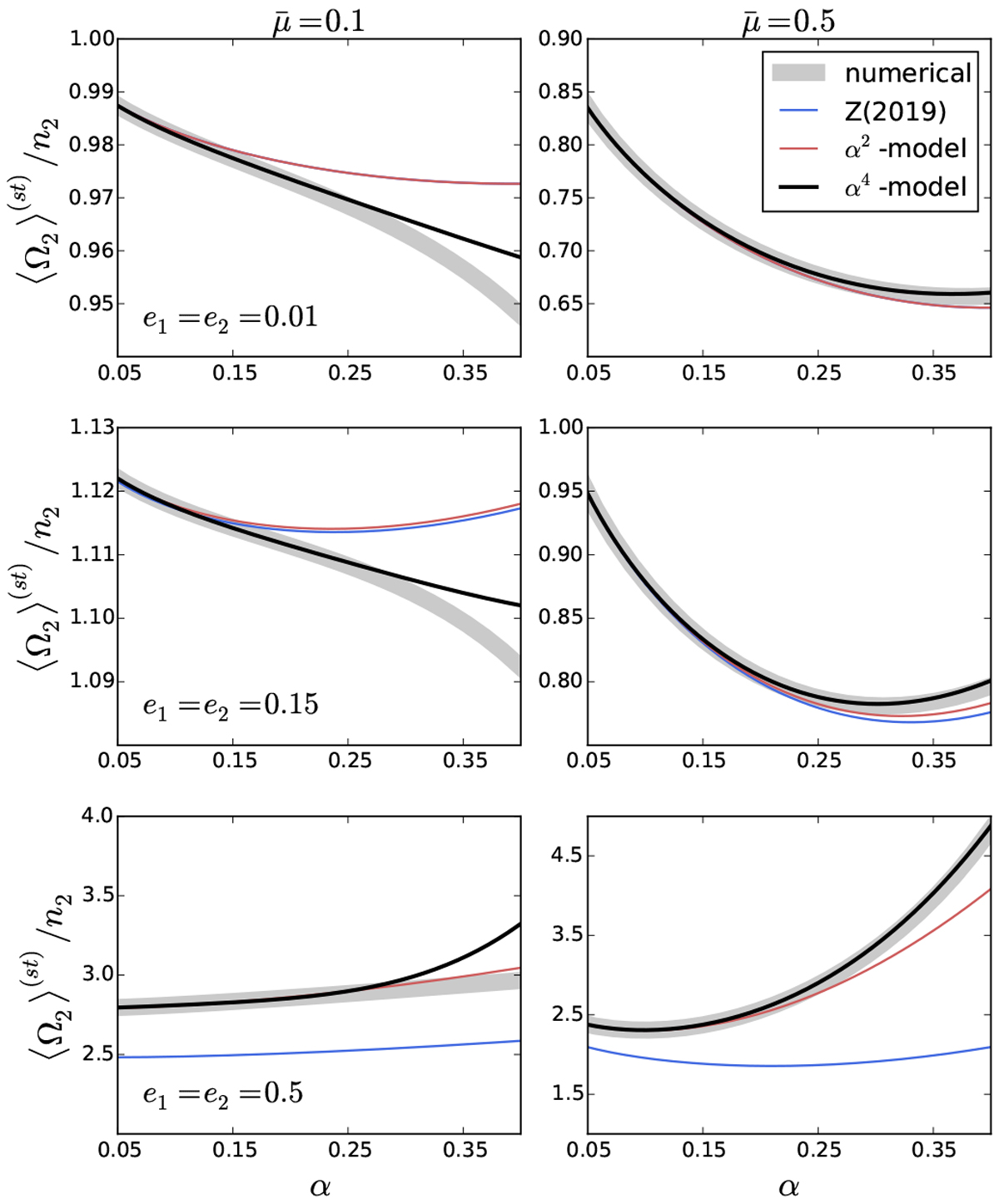
Fig. 2

Stationary spin of a CB planet as a function of α. Different rows consider different eccentricity of the orbits (assumed equals). Different columns represent different reduced mass:
(left panels) and
(right panels). The type of the curves represent the same that in Fig. 1.
Current usage metrics show cumulative count of Article Views (full-text article views including HTML views, PDF and ePub downloads, according to the available data) and Abstracts Views on Vision4Press platform.
Data correspond to usage on the plateform after 2015. The current usage metrics is available 48-96 hours after online publication and is updated daily on week days.
Initial download of the metrics may take a while.