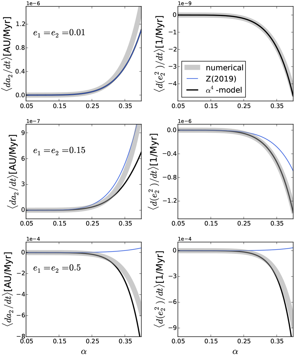
Fig. 3

Time derivative of the planetary semimajor axis (left panels) and eccentricity (right panels), as a function of α, for a synchronised CB planet around our generic binary system. As before, results obtained with different models are shown in different colored curves: numerical in broad grey, Zoppetti et al. (2019a) in thin blue, and predictions from our current α4 model in black.
Current usage metrics show cumulative count of Article Views (full-text article views including HTML views, PDF and ePub downloads, according to the available data) and Abstracts Views on Vision4Press platform.
Data correspond to usage on the plateform after 2015. The current usage metrics is available 48-96 hours after online publication and is updated daily on week days.
Initial download of the metrics may take a while.