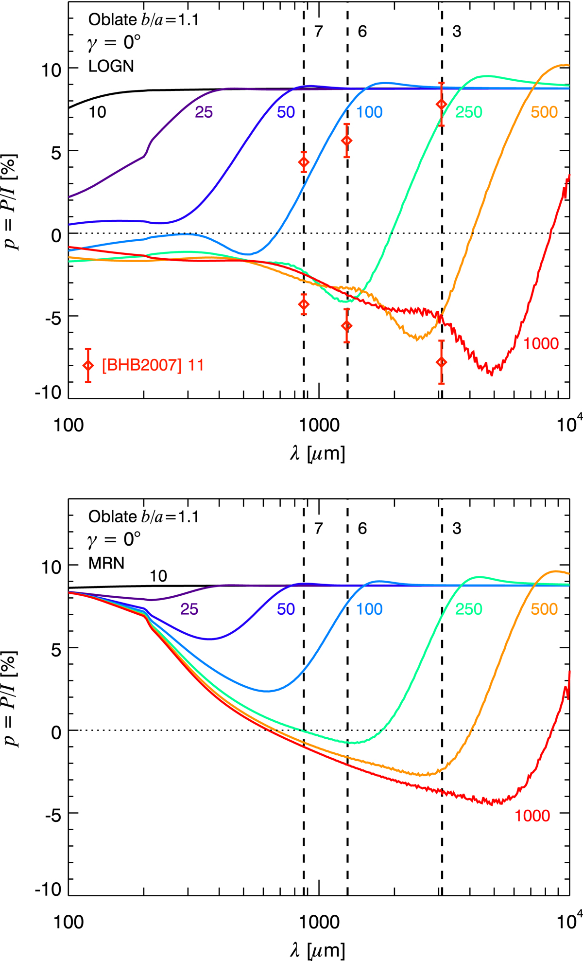
Fig. 1.

Polarization fraction in emission for oblate grains (axis ratio b/a = 1.1) that are perfectly aligned in the plane of the sky. Results are presented for log-normal (top) and MRN-like (bottom) size distributions. The grain size corresponding to the peak of the mass distribution is indicated in μm. Negative polarization fractions correspond to a rotation of the polarization vector by 90°. The wavelength of ALMA bands 3, 6, and 7 are indicated with dashed vertical lines. Mean values of the polarization fraction observed for [BHB2007] 11 are overplotted in positive and negative for the log-normal size distributions.
Current usage metrics show cumulative count of Article Views (full-text article views including HTML views, PDF and ePub downloads, according to the available data) and Abstracts Views on Vision4Press platform.
Data correspond to usage on the plateform after 2015. The current usage metrics is available 48-96 hours after online publication and is updated daily on week days.
Initial download of the metrics may take a while.