Open Access
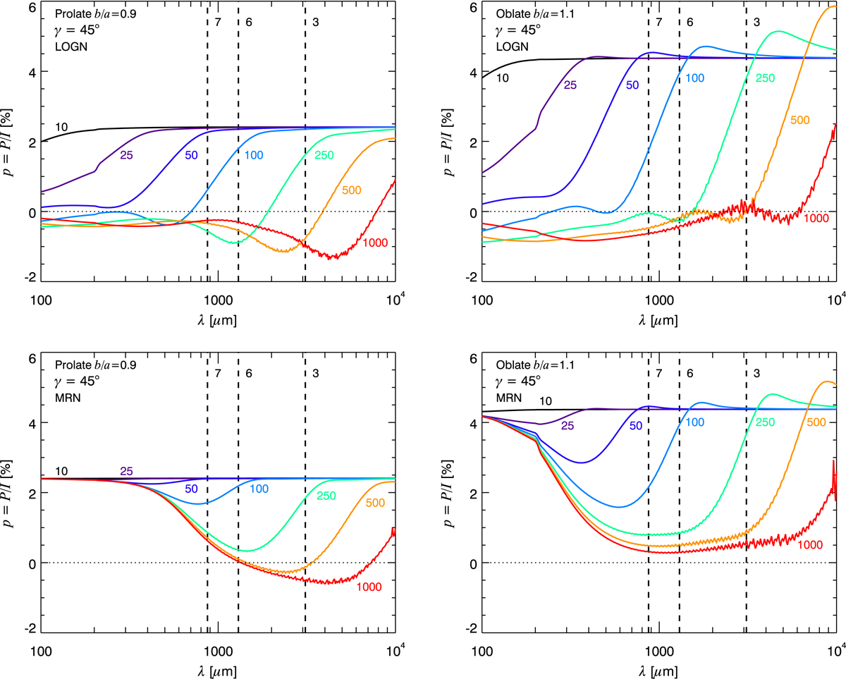
Fig. B.1.

Same as Fig. 1, but for a direction of alignment inclined by 45° with respect to the plane of the sky. Log-normal (top row) and MRN (bottom row) size distributions of prolate (left column) and oblate (right column) grains.
Current usage metrics show cumulative count of Article Views (full-text article views including HTML views, PDF and ePub downloads, according to the available data) and Abstracts Views on Vision4Press platform.
Data correspond to usage on the plateform after 2015. The current usage metrics is available 48-96 hours after online publication and is updated daily on week days.
Initial download of the metrics may take a while.