Free Access
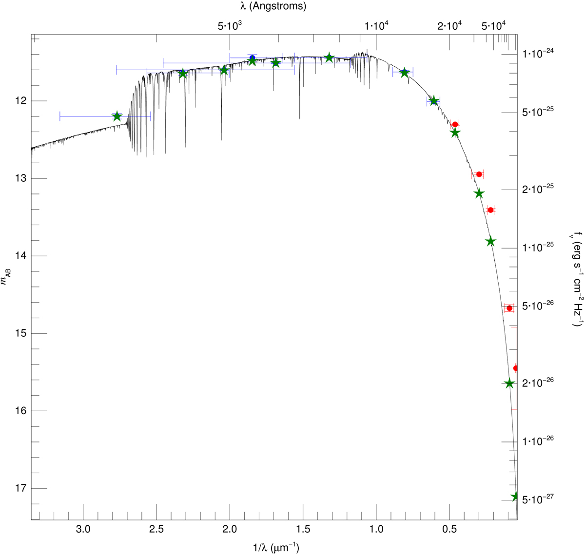
Fig. C.1.

Best-fit SED for the first run of the second CHORIZOS set. Green stars indicate model photometry, blue symbols and error bars indicate input photometry used for the fit, and red symbols and error bars indicate input photometry not used for the fit.
Current usage metrics show cumulative count of Article Views (full-text article views including HTML views, PDF and ePub downloads, according to the available data) and Abstracts Views on Vision4Press platform.
Data correspond to usage on the plateform after 2015. The current usage metrics is available 48-96 hours after online publication and is updated daily on week days.
Initial download of the metrics may take a while.