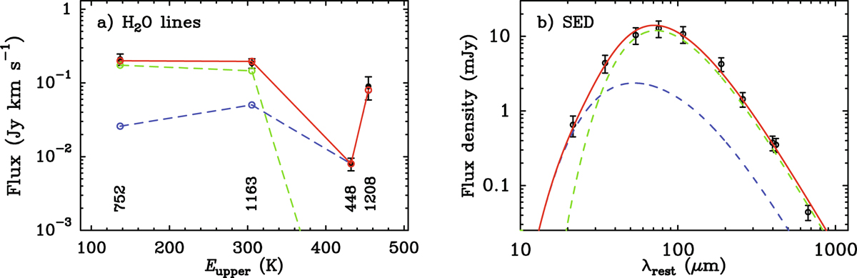
Fig. 3.

Best-fit two-component model of G09v1.97-R for (a) the H2O lines and (b) the dust continuum (colored symbols and lines) compared with observations (black symbols with error bars). Predictions for the two individual ISM components are displayed with dashed green (the disk component) and blue lines (the core component); the total is shown in red. The physical parameters adopted from this model are indicated with arrows in Fig. 4. Panel a: numbers indicate the rest frequencies of the lines in GHz. The observed H2O fluxes and continuum flux densities have been corrected for magnification. The continuum fluxes have also been corrected to only account for the contribution by G09v1.97-R, as described in Sect. 2 (see also Y19).
Current usage metrics show cumulative count of Article Views (full-text article views including HTML views, PDF and ePub downloads, according to the available data) and Abstracts Views on Vision4Press platform.
Data correspond to usage on the plateform after 2015. The current usage metrics is available 48-96 hours after online publication and is updated daily on week days.
Initial download of the metrics may take a while.