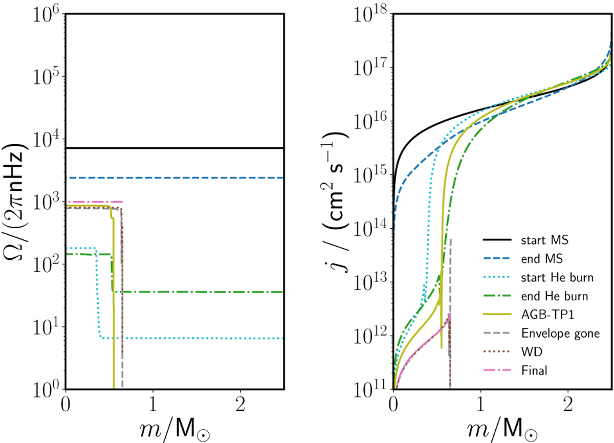
Fig. 3.

Profiles of Ω and j for stellar evolutionary phases taken from the model with α = 4. The eight phases are the start and end of the main sequence (respectively “start MS” and “end MS”), the start and end of the core He burning phases (“start He burn”, and “end He burn”), the first thermal pulse in the AGB phase (“AGB TP1”), the end of the AGB phase (“Envelope gone”), the start of the white dwarf phase (“WD”), and the final profile in the calculation (“Final”), which is located lower on the white dwarf cooling track than the DAV phase. The figures show that there is AM transport after the core He burning phases.
Current usage metrics show cumulative count of Article Views (full-text article views including HTML views, PDF and ePub downloads, according to the available data) and Abstracts Views on Vision4Press platform.
Data correspond to usage on the plateform after 2015. The current usage metrics is available 48-96 hours after online publication and is updated daily on week days.
Initial download of the metrics may take a while.