Free Access

Fig. 10.

image

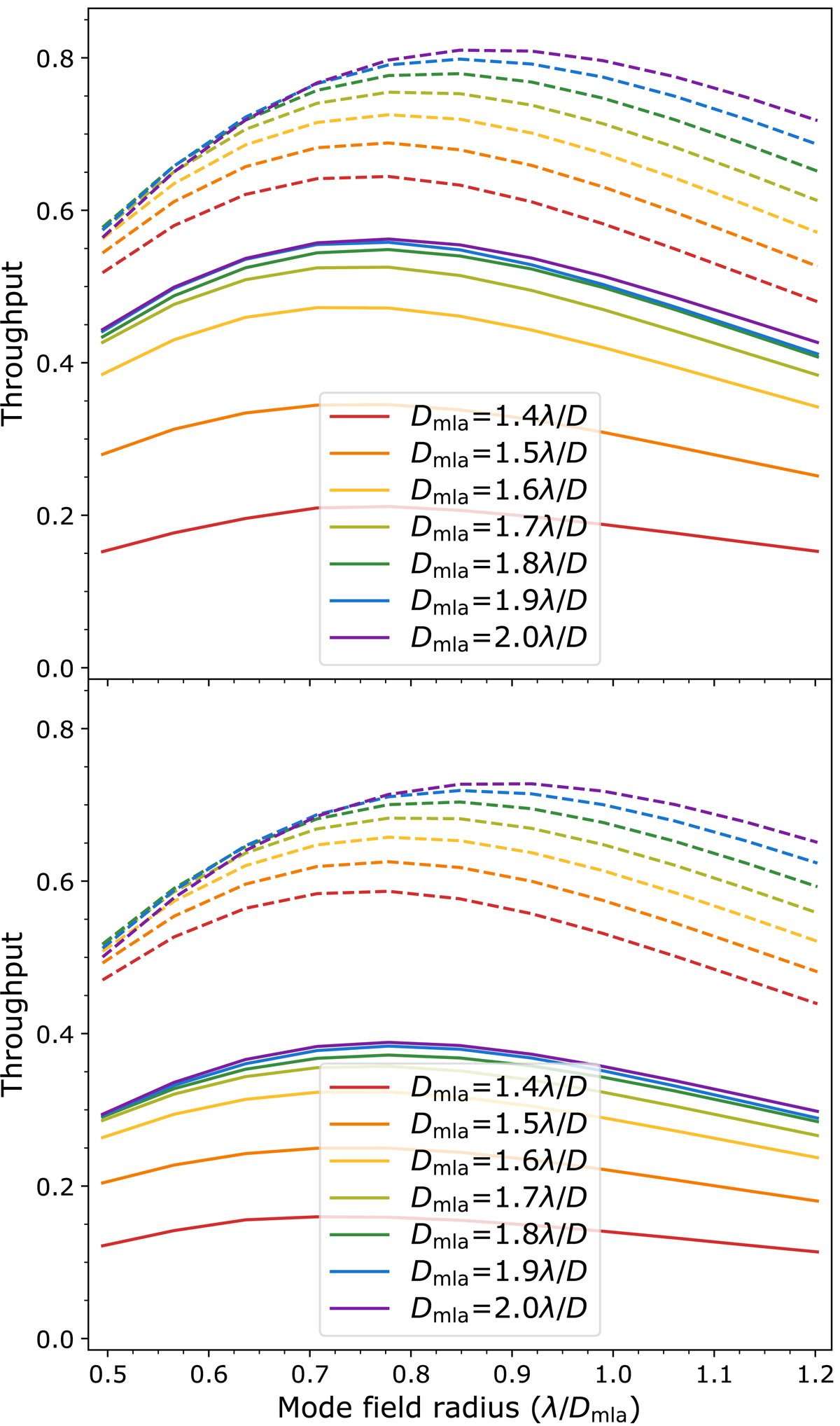
Throughput of the central lenslet as a function of mode field radius for various values of the microlens diameter. Each data point represents a different SCAR design. Solid lines indicate the SCAR PSFs, dashed lines an unaltered PSF. Top panel: throughput for an clear aperture, bottom panel: for a VLT aperture.

Current usage metrics show cumulative count of Article Views (full-text article views including HTML views, PDF and ePub downloads, according to the available data) and Abstracts Views on Vision4Press platform.

Data correspond to usage on the plateform after 2015. The current usage metrics is available 48-96 hours after online publication and is updated daily on week days.

Initial download of the metrics may take a while.