Free Access

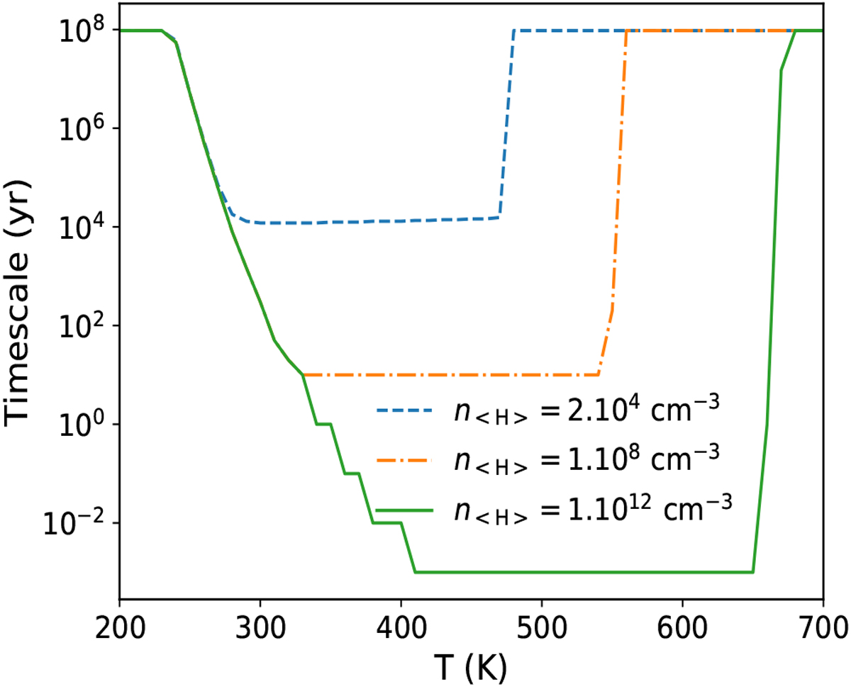
Fig. 3

image

Timescale for water vapour to adsorb to the six chemisorption layers of a 0.1 μm radius silicate grain. Finding a timescale of 108 yr means that the water vapour does not fill all the available silicate core layers within 108 yr.

Current usage metrics show cumulative count of Article Views (full-text article views including HTML views, PDF and ePub downloads, according to the available data) and Abstracts Views on Vision4Press platform.

Data correspond to usage on the plateform after 2015. The current usage metrics is available 48-96 hours after online publication and is updated daily on week days.

Initial download of the metrics may take a while.