Free Access

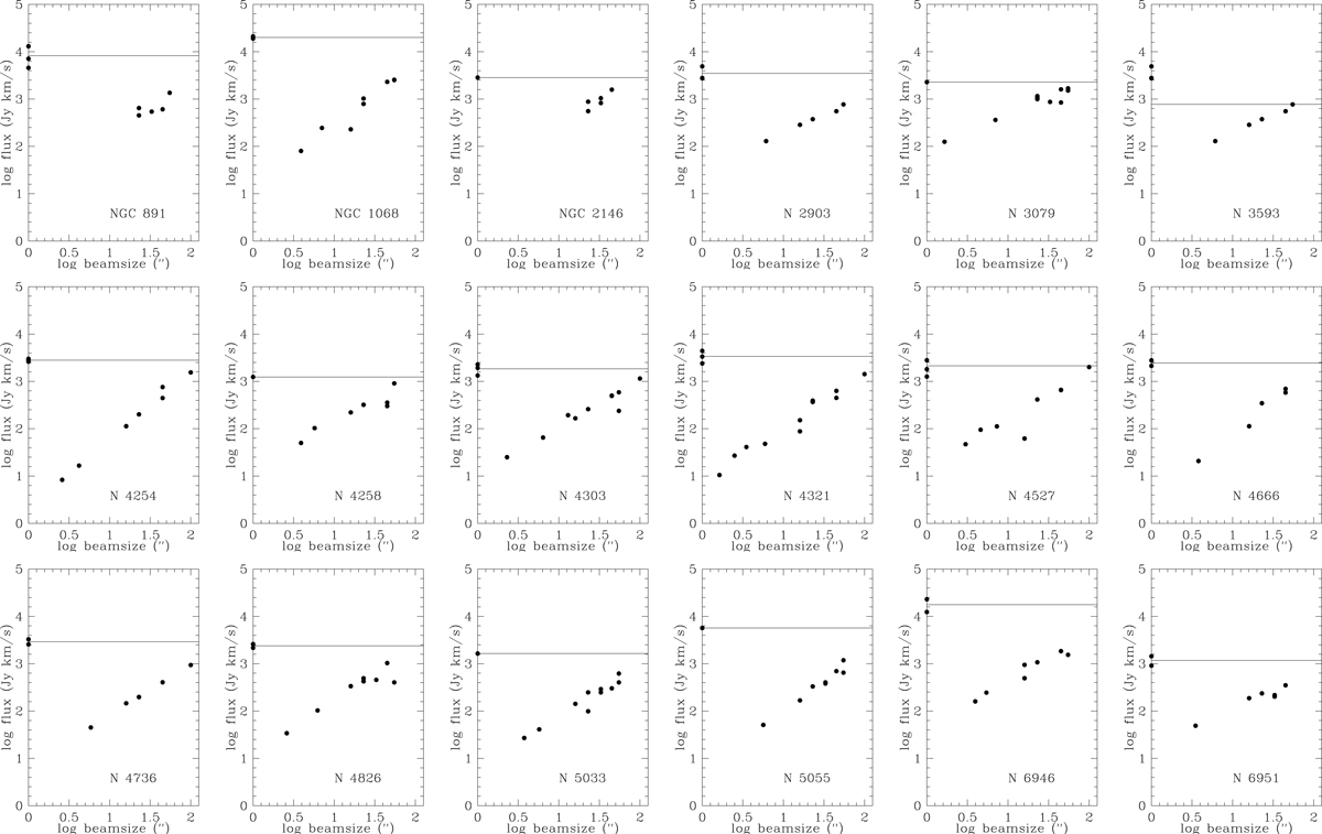
Fig. 7.

image

J = 1−0 12CO multi-aperture photometry of galaxies observed with different telescopes. The points on the vertical axis refer to the integrated CO line flux of the entire galaxy. In each panel, their average is marked by a horizontal line. References to the measurements used in these diagrams and in the photometry analysis are given in Appendix A.

Current usage metrics show cumulative count of Article Views (full-text article views including HTML views, PDF and ePub downloads, according to the available data) and Abstracts Views on Vision4Press platform.

Data correspond to usage on the plateform after 2015. The current usage metrics is available 48-96 hours after online publication and is updated daily on week days.

Initial download of the metrics may take a while.