Open Access

Fig. C.1

image

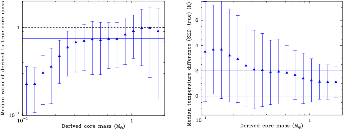
Left: ratio of measured to true core mass as function of measured core mass for the simulated core extractions. The error bars are ±1σ where σ is the standard deviation of the mass ratio in each mass bin. The median mass ratio is ~ 0.75 for observed core masses between ~0.3 M and ~ 0.8 M (as indicated by the horizontal blue line). The horizontal dashed line indicates a mass ratio of 1, as expected for perfect core mass estimates. Right: difference between measured SED temperature and true mass-averaged dust temperature as function of measured core mass for the simulated core extractions. The error bars are ± 1σ where σ is the standard deviation of the temperature difference in each mass bin. The median temperature difference is approximately + 2 K between ~0.3 M and ~ 0.8 M (as marked by the horizontal blue line), close to the fiducial completeness limit. The horizontal dashed line indicates no temperaturedifference, as expected for perfect core temperature estimates.

Current usage metrics show cumulative count of Article Views (full-text article views including HTML views, PDF and ePub downloads, according to the available data) and Abstracts Views on Vision4Press platform.

Data correspond to usage on the plateform after 2015. The current usage metrics is available 48-96 hours after online publication and is updated daily on week days.

Initial download of the metrics may take a while.