Free Access

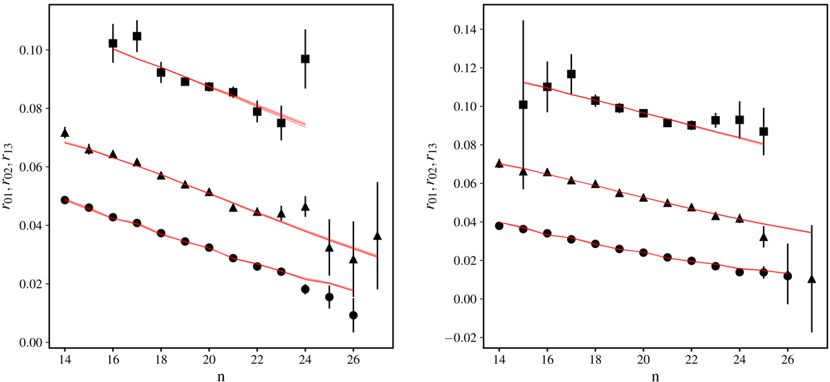
Fig. 1.

image

Seismic diagnostic for 16 Cyg A (left panel) and B (right panel). The squares, triangles, and circles denote the observed r13, r02, and r01 observed ratios, respectively. The red lines show the best models for all runs in Tables 3 and 4.

Current usage metrics show cumulative count of Article Views (full-text article views including HTML views, PDF and ePub downloads, according to the available data) and Abstracts Views on Vision4Press platform.

Data correspond to usage on the plateform after 2015. The current usage metrics is available 48-96 hours after online publication and is updated daily on week days.

Initial download of the metrics may take a while.