Free Access

Fig. 7.

image

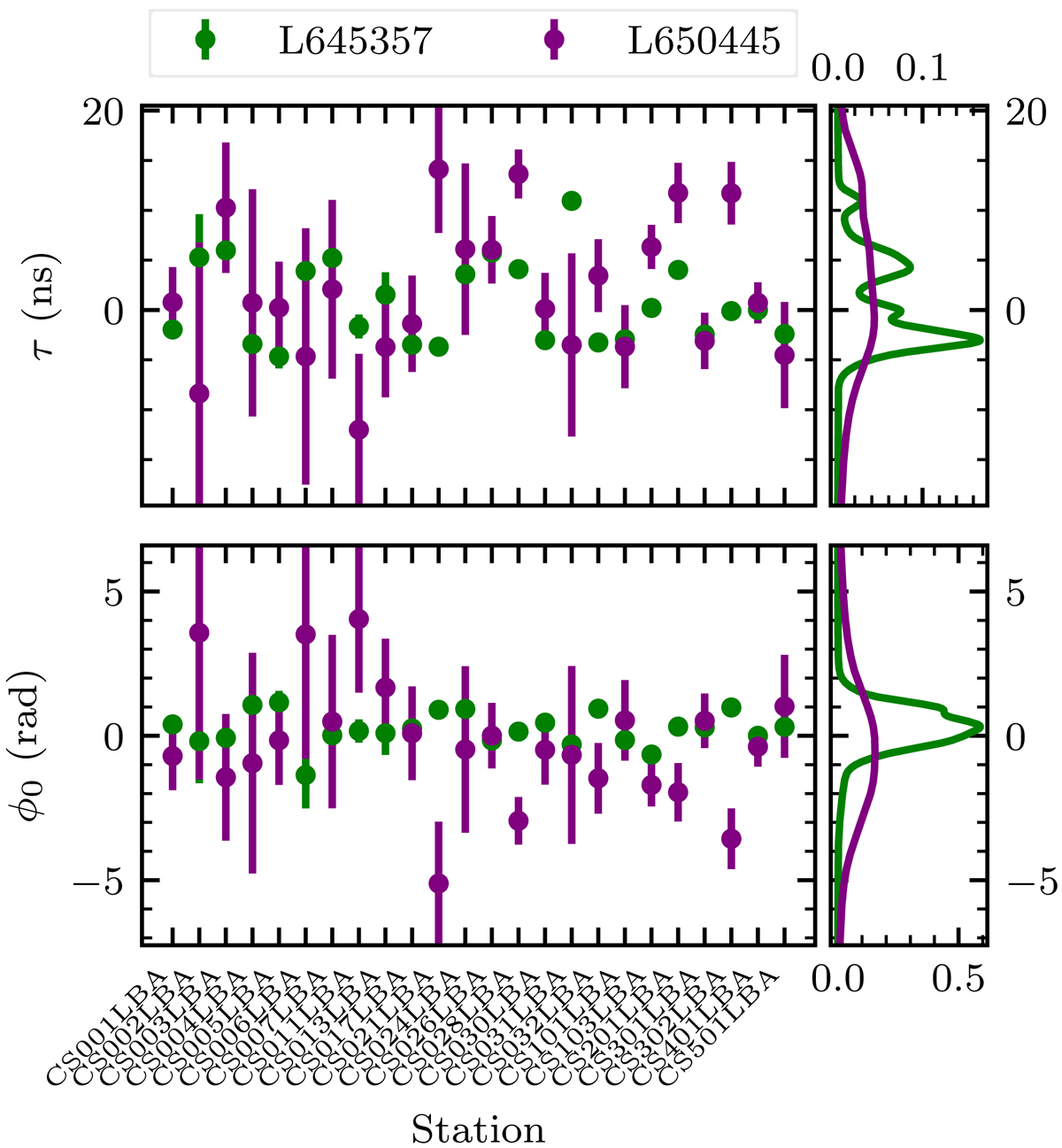
Time delays and 0 Hz phase offsets for the LBA stations derived from holography observations. The time delays and 0 Hz phase offsets correspond to those of the XX polarization for two observations (L645357 and L650445). Top panel: derived time delay τ for each station in the AUT. The time delay for CS401 is 0 because this station was used to reference the phases. Bottom panel: phase offset of 0 Hz. It can be seen that the time delays and 0 Hz phase offsets are consistent between the two observations. For the innermost stations, CS002 to CS007, the scatter is larger because the stations are unresolved.

Current usage metrics show cumulative count of Article Views (full-text article views including HTML views, PDF and ePub downloads, according to the available data) and Abstracts Views on Vision4Press platform.

Data correspond to usage on the plateform after 2015. The current usage metrics is available 48-96 hours after online publication and is updated daily on week days.

Initial download of the metrics may take a while.