Free Access

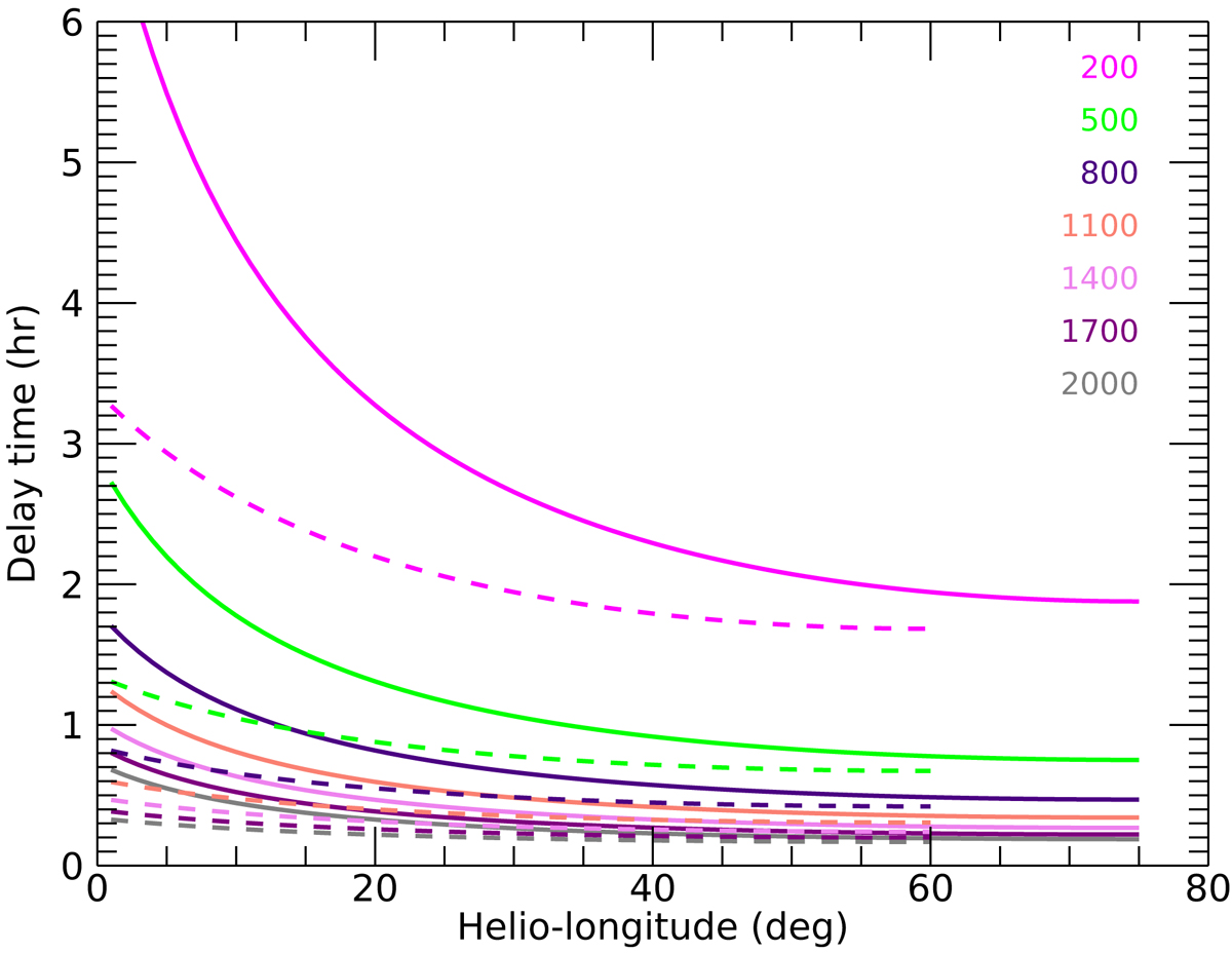
Fig. 1.

image

Delayed time of first observation of a CME with constant speed, occulted by a 2 R disk as a function of the helio-longitude of the source region. Continuous and dashed lines correspond to CME width of 30° and 60°, respectively.

Current usage metrics show cumulative count of Article Views (full-text article views including HTML views, PDF and ePub downloads, according to the available data) and Abstracts Views on Vision4Press platform.

Data correspond to usage on the plateform after 2015. The current usage metrics is available 48-96 hours after online publication and is updated daily on week days.

Initial download of the metrics may take a while.